1. Fructozo là gì?
- Fructose là một loại đường đơn (monosaccharide), thuộc nhóm carbohydrate đơn giản nhất mà cơ thể có thể hấp thu trực tiếp. Cùng với glucose và galactose, fructose là một trong ba loại đường đơn phổ biến nhất trong chế độ ăn hằng ngày.
- Điểm nổi bật của fructose là độ ngọt cao – thậm chí ngọt hơn cả sucrose (đường ăn thông thường) và glucose. Chính vì vậy, nó thường được dùng làm chất tạo ngọt trong nhiều sản phẩm thực phẩm công nghiệp.
- Trong tự nhiên, fructose xuất hiện trong:
+ Trái cây chín (táo, lê, nho, xoài…)
+ Một số loại rau củ (như hành tây, atiso Jerusalem)
+ Mật ong
- Ngoài ra, fructose cũng có mặt trong các dạng đường bổ sung như:
+ Sucrose (đường kính): gồm 50% fructose và 50% glucose
+ Siro ngô hàm lượng fructose cao (HFCS): thường chứa 42% hoặc 55% fructose, phần còn lại chủ yếu là glucose
2. Fructozo có những tính chất gì?
a. Tính chất vật lí
- Là chất rắn kết tính, dễ tan trong nước.
- Vị ngọt hơn đường mía.
- Có nhiều trong hoa quả và đặc biệt trong mật ong (40%).
b. Tính chất hóa học
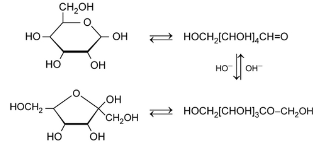
- Vì phân tử fructozơ chứa 5 nhóm OH trong đó có 4 nhóm liền kề và 1 nhóm chức C = O nên có các tính chất hóa học của ancol đa chức và xeton.
+ Hòa tan Cu(OH)2 ở ngay nhiệt độ thường.
+ Tác dụng với anhiđrit axit tạo este 5 chức.
+ Tính chất của xeton
+ Tác dụng với H2 tạo sobitol.
+ Cộng HCN
- Trong môi trường kiềm fructozơ chuyển hóa thành glucozơ nên fructozơ có phản ứng tráng gương, phản ứng với Cu(OH)2 trong môi trường kiềm. Nhưng fructozơ không có phản ứng làm mất màu dung dịch Brom.
3. Công thức hóa học của Fructozo là gì?
- Fructose, hay còn thường gọi là đường fructô, đường trái cây hay đường hoa quả, bản chất là một monosaccharide ketonic đơn giản tìm thấy trong khá nhiều loài thực vật, đó là nơi mà nó thường được liên kết với glucose để hình thành những disaccharide sucrose.
- Đường Fructose thường tồn tại dưới 2 dạng:
+ Dạng thứ nhất là đường fructose tự nhiên, thường được tìm thấy trong mật ong, các loại quả như táo, chà là hoặc nước ép trái cây nguyên chất và một lượng nhỏ chứa trong rau củ như ở trong cà rốt.
+ Dạng thứ hai là đường fructose tinh luyện thường góp mặt trong các loại thực phẩm như kẹo, sữa chua có đường, soda, hoa quả đóng hộp, nước ép, kem.
- Công thức phân tử đường fructose là: C6H12O6

- Cấu tạo của Fructose khá giống với đường Glucose, nó cũng có khả năng chuyển hóa giữa mạch vòng và mạch thẳng.
- Fructose cũng chứa nhóm OH hemiaxetal – nhóm OH được gắn màu ở vị trí , do đó mà nhóm OH này cũng mang những tính chất giống như đường Glucose.
- Sự khác nhau giữa chúng chính là vị trí của nhóm hình thành nên sự đóng vòng của đường fructose là 1 vòng với 5 cạnh.
- Có thể nhận thấy rõ ràng là fructose và glucose có công thức phân tử tương tự nhau, chỉ khác nhau ở công thức cấu tạo – chúng là đồng phân với nhau, do vậy mà 2 hợp chất này có khả năng chuyển hóa qua lại cho nhau nếu đặt trong điều kiện thuận lợi.
- Từ đó, có thể nhận thấy mặc dù không có nhóm nhưng fructose vẫn có khả năng tham gia phản ứng tráng gương, đó là do trong môi trường bazơ , fructose có khả năng chuyển hóa thành glucose.
- Glucose và fructose đều có những tính chất hóa học hoàn toàn giống nhau khi trong cùng 1 môi trường kiềm.
4. Fructose có trong thực phẩm nào?
- Mít
+ Một cốc mít bỏ hạt có thể cung cấp 15,2g đường fructose, chứa nhiều fructose hơn so với nhiều loại trái cây khác. Ngoài ra, mít cũng mang đến nhiều nhóm chất tốt cho sức khỏe như kali, vitamin C và chất xơ. [4]
+ Mít là một loại trái cây có kết cấu đặc biệt, dạng sợi giống như thịt cùng vị ngọt tự nhiên nên được lựa chọn để thay thế thịt trong một số món ăn.

- Táo
+ Một quả táo mỗi ngày sẽ cung cấp cho bạn 12,5g đường fructose cùng với các chất dinh dưỡng quan trọng khác như chất xơ, polyphenol và kali.
+ Một số nghiên cứu công bố trên Thư viện Y khoa Quốc gia Hoa Kỳ đã chỉ ra rằng, ăn táo thường xuyên có liên quan đến việc giảm mức cholesterol toàn phần, điều này đem lại những tác động tích cực đến sức khỏe tim mạch.

- Lê
+ Vị ngọt tự nhiên của lê đến từ 11,4g fructose có trong mỗi quả. Mặc dù chứa khá nhiều đường nhưng lê cũng là một nguồn cung cấp chất xơ tuyệt vời với hàm lượng 5g trong mỗi quả, đáp ứng 20% giá trị hàng ngày. Điều này đảm bảo sự cân đối về mặt dinh dưỡng khi ăn lê, tốt cho sức khỏe và tránh việc tiêu thụ quá nhiều đường.

- Việt quất
+ Mỗi cốc việt quất tươi có hàm lượng fructose khá cao - 7,4g. Hơn nữa, việt quất còn là một loại quả giàu chất xơ và chất chống oxy hóa. Việc kết hợp quả việt quất với sữa chua hy lạp cùng hạt chia sẽ mang tới một bữa ăn nhẹ đầy dinh dưỡng và tốt cho sức khỏe.
- Chuối
+ Chuối có hàm lượng fructose cao, một quả chuối có thể cung cấp 5,7g fructose. Ngoài ra, chuối cũng là một loại trái cây cung cấp nguồn năng lượng dồi dào cùng các chất dinh dưỡng khác như vitamin C, kali và chất xơ.
+ Nhờ vào hàm lượng fructose và các dưỡng chất trên, chuối không chỉ là một món ăn ngon mà còn mang đến nhiều lợi cho sức khỏe. Vitamin C giúp tăng cường hệ miễn dịch, kali hỗ trợ hoạt động cơ bản của các tế bào và chất xơ tạo cảm giác no lâu hơn, giảm khẩu phần ăn trong các bữa chính.
- Ớt chuông
+ Một quả ớt chuông đỏ cỡ vừa có 2,7g đường fructose, đồng thời cung cấp 169% lượng vitamin C cần thiết mỗi ngày. Lượng đường trong ớt chuông không quá cao như trong các loại trái cây khác nên chúng có thể được sử dụng như một phần của chế độ ăn cân đối.
+ Ớt chuông có thể chế biến linh hoạt thành nhiều món ăn khác nhau nhờ vào vị ngọt dễ ăn và hàm lượng khoáng chất tự nhiên dồi dào. Do đó, chúng trở thành một loại rau củ rất được ưa chuộng.

- Cà tím
+ Một cốc cà tím thái hạt lựu mang đến 1,3g fructose cùng với một chất chống oxy hóa quan trọng khác được gọi là anthocyanin. Anthocyanin được biết đến với khả năng chống viêm, kháng khuẩn, ngăn ngừa bệnh tiểu đường và ung thư.
- Mật ong
+ Trong mật ong, 40,9% là fructose - tương ứng mỗi thìa canh mật ong có đến 8,6g fructose. 59,1% còn lại là glucose, nước, vitamin và chất chống oxy hóa.
+ Ngoài mật ong thì hai mật ngọt tự nhiên là mật cây thùa và mật đường mía cũng có hàm lượng fructose cao với hàm lượng trong mỗi thìa canh mật tương ứng là 3,4g và 2,6g fructose.