1. Đồng vị là gì?
- Đồng vị là các biến thể của một nguyên tố hóa học, trong đó hạt nhân nguyên tử có cùng số proton (số đơn vị điện tích hạt nhân) nhưng khác số neutron và do đó có số khối khác nhau
2. Đồng có hai đồng vị chúng khác nhau về điều gì?
Đồng có hai đồng vị phổ biến là
, chúng khác nhau chủ yếu về số lượng neutron trong hạt nhân, dẫn đến sự khác biệt về số khối (A = 63 và A = 65) và khối lượng nguyên tử. Tuy nhiên, chúng có cùng số proton (29) và electron nên có tính chất hóa học tương tự nhau.
- Đồng vị : Có 29 proton, 29 electron và 63 - 29 = 34 neutron.
- Đồng vị : Có 29 proton, 29 electron và 65 - 29 = 36 neutron.
=> Điểm khác biệt chính là số neutron và số khối.
3. Cách tính phầm trăn đồng vị
- Đầu tiên, ta có công thức tính nguyên tử khối trung bình dựa trên thành phần các đồng vị như sau:Với : nguyên tử khối (hay số khối) của các đồng vị và : lần lượt là số nguyên tử (hoặc % số nguyên tử) của mỗi đồng vị. Nguyên tử khối trung bình sẽ được tính dựa vào công thức:- Từ đó chúng ta sẽ xác định phần trăm các đồng vịGọi % của đồng vị 1 là % của đồng vị 2 là .Rút từ công thức tính nguyên tử khối trung bình
Giải được .
4. Phương pháp giải bài tập đồng vị
- Áp dụng công thức tính nguyên tử khối trung bình :

Trong đó A1, A2, A3,... là số khối của các đồng vị.
x1, x2, x3,... là thành phần % của các đồng vị.
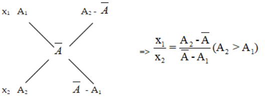
Sử dụng sơ đồ đường chéo:

5. Ví dụ minh họa
Ví dụ 1: Trong tự nhiên nguyên tố Brom có 2 đồng vị , trong đó đồng vị chiếm 54,5 % về số lượng. Số khối của đồng vị còn lại là?
Đặt A2 là số khối của đồng vị thứ hai.
Phần trăm số lượng của nó là 100 % - 54,5 % = 45,5 %
Ta có:

⇒ A2 = 81
Ví dụ 2: Khối lượng nguyên tử trung bình của Bo ( B ) là 10,812 u. Số nguyên tử khi có 94 nguyên tử là bao nhiêu?

= 10,812
Suy ra x1 = 18,8 %
Suy ra phần trăm khối lượng của là 100 % - 18,8 % = 81,2 %
Do đó, số nguyên tử khi có 94 nguyên tử là : 