1. Sucrose là gì?
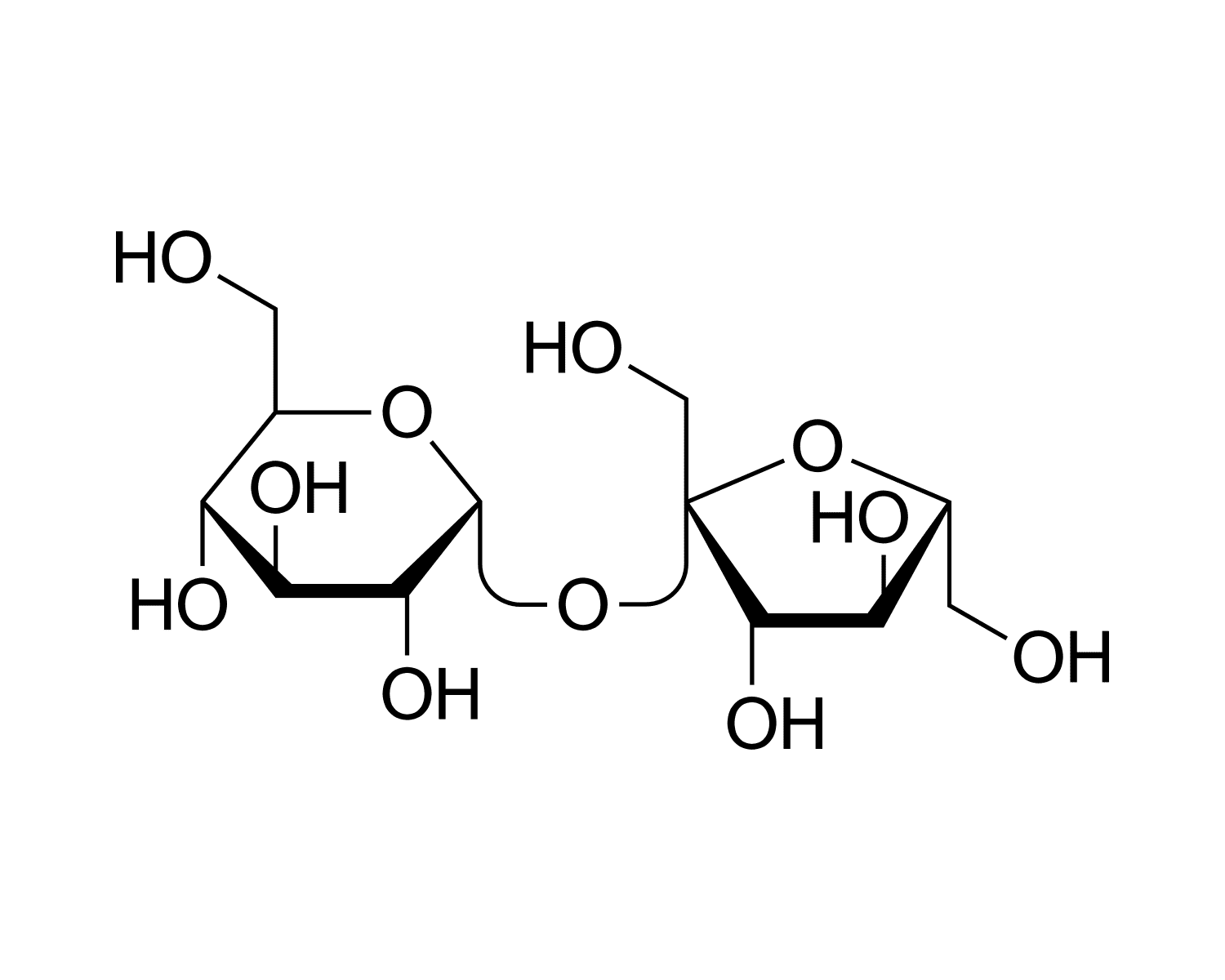
- Sucrose (saccharose) là một disaccharide bao gồm một đơn vị glucose và một đơn vị fructose liên kết với nhau. Sucrose được chuyển hóa bởi enzyme sucrase nằm trên bề mặt niêm mạc ruột non, hấp thụ vào máu và di chuyển đến các tế bào.
- Sucrose là một loại đường tự nhiên được tìm thấy trong nhiều loại trái cây, rau quả và ngũ cốc. Đặc biệt, sucrose có trong thực phẩm chế biến và tinh chế trên quy mô công nghiệp rộng lớn thường được chiết xuất từ đường mía hoặc củ cải đường.
- Đường sucrose được chia thành nhiều loại, sử dụng rộng rãi để làm ngọt, bảo quản và tạo kết cấu trong chế biến thực phẩm chẳng hạn như kẹo, kem, ngũ cốc ăn sáng, thực phẩm đóng hộp, soda và đồ uống có đường khác,...
2. Sucrose có tác dụng gì?
* Cung cấp năng lượng nhanh chóng
+ Mỗi gram sucrose cung cấp khoảng 4 calo, đóng vai trò là nguồn năng lượng tức thì cho các hoạt động thể chất và chức năng sinh học cơ bản. Khi được tiêu hóa, glucose từ sucrose trở thành nhiên liệu chính cho não bộ và hệ thần kinh.
+ Làm ngọt thực phẩm và đồ uống
+ Dùng trong chế biến món tráng miệng, nước giải khát, bánh kẹo.
* Hỗ trợ cấu trúc và bảo quản thực phẩm
- Trong ngành công nghiệp thực phẩm, sucrose không chỉ làm ngọt mà còn:
+ Tạo độ mềm, xốp cho bánh mì và bánh ngọt nhờ khả năng giữ ẩm.
+ Góp phần hình thành lớp caramel đẹp mắt khi nướng hoặc chiên.
+ Hoạt động như chất bảo quản tự nhiên trong mứt, thạch nhờ giảm hoạt độ nước, ngăn vi khuẩn phát triển.
* Ứng dụng trong sản phẩm chăm sóc sức khỏe
- Sucrose đôi khi được dùng để:
+ Che giấu vị đắng trong một số dạng siro hoặc viên ngậm.
+ Làm chất nền trong các sản phẩm dạng bột hoặc viên sủi.
3. Tính chất của Sucrose như thế nào?
* Tính chất vật lí:


* Tính chất hóa học:
- Sucrose là hóa chất thí nghiệm nổi bật không có tính khử, chỉ có tính chất của ancol đa chức và có phản ứng thuỷ phân của disaccarit.
- Phản ứng với Cu(OH)2
+ Cho kết tủa Cu(OH)2 tan trong dung dịch sucrose sẽ gây ra hiện tượng tạo ra một dung dịch màu xanh lam gọi là Phức đồng-saccharose tan. Với phương trình phản ứng như sau:
2C12H22O11 + Cu(OH)2 → (C12H21O11)2Cu + 2H2O
- Phản ứng thủy phân
+ Dù dung dịch sucrose không có tính khử nhưng khi được đun nóng với axit thì sẽ tạo thành dung dịch có tính khử, vì do nó bị thủy phân thành glucozơ và fructozơ.
C12H22O11 + H2O → C6H12O6 + C6H12O6

4. Vai trò của Sucrose trong đời sống
- Công nghiệp thực phẩm: Sucrose là chất phụ gia tạo ngọt hoặc nguyên liệu đường chính trong bánh, kẹo, siro, mứt,…
- Y tế: Sucrose được dùng như thành phần của thuốc điều trị, kiểm soát, phòng chống và cải thiện hội chứng bỏng rát lưỡi, ho,...
- Khoa học - công nghệ: Sucrose được dùng để sản xuất isomaltulose nhờ vi khuẩn Enterobacter sp. Isb-25.