Bài tập 1: Mặt phẳng (P): 3x – 4y + 5z – 6 = 0 có một vectơ pháp tuyến là:

Đáp án: B
Mặt phẳng (P): 3x – 4y + 5z – 6 = 0 có một vectơ pháp tuyến là:
Bài tập 2: Đường thẳng có một vectơ chỉ phương là:

Đáp án: D

Bài tập 3:
a) Mặt cầu (S): (x – 11)2 + (y – 12)2 + (z – 13)2 = 100 có bán kính là:
A. 10.
B. 11.
C. 12.
D. 13.
b) Tọa độ tâm của mặt cầu (S): (x – 5)2 + (y + 6)2 + (z – 7)2 = 8 là:
A. (5; 6; 7).
B. (5; 6; – 7).
C. (5; – 6; 7).
D. (– 5; 6; 7).
a) Đáp án: A
Mặt cầu (S): (x – 11)2 + (y – 12)2 + (z – 13)2 = 100 có bán kính là .
b) Đáp án: C
Ta có (x – 5)2 + (y + 6)2 + (z – 7)2 = 8 ⇔ (x – 5)2 + [y – (– 6)]2 + (z – 7)2 = 8.
Vậy tọa độ tâm của mặt cầu (S) là (5; – 6; 7).
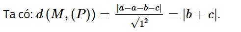
Bài tập 4: Khoảng cách từ điểm M(a; b; c) đến mặt phẳng x – a – b – c = 0 là:
A. |a + b|.
B. |b + c|.
C. |c + a|.
D..
Đáp án: B

Bài tập 5: Cho bốn điểm A(0; 1; 3), B(– 1; 0; 5), C(2; 0; 2) và D(1; 1; – 2).
a) Tìm toạ độ của hai vectơ và một vectơ vuông góc với cả hai vectơ đó.
b) Viết phương trình tham số và phương trình chính tắc của hai đường thẳng AB và AC.
c) Viết phương trình tổng quát của mặt phẳng (ABC).
d) Chứng minh rằng bốn điểm A, B, C, D không đồng phẳng.
e) Tính khoảng cách từ điểm D đến mặt phẳng (ABC).
Lời giải:
a) Ta có .
Xét vectơ .
Khi đó, là một vectơ vuông góc với cả hai vectơ .
b) + Đường thẳng AB đi qua điểm A và nhận vectơ làm vectơ chỉ phương.
Phương trình tham số của đường thẳng AB là (t là tham số).
Phương trình chính tắc của đường thẳng AB là .
+ Đường thẳng AC đi qua điểm A và nhận vectơ làm vectơ chỉ phương.
Phương trình tham số của đường thẳng AC là (t là tham số).
Phương trình chính tắc của đường thẳng AC là .
c) Mặt phẳng (ABC) đi qua điểm A và nhận vectơ làm vectơ pháp tuyến. Phương trình tổng quát của mặt phẳng (ABC) là:
1(x – 0) + 1(y – 1) + 1(z – 3) = 0 ⇔ x + y + z – 4 = 0.
d) Thay tọa độ điểm D(1; 1; – 2) vào phương trình mặt phẳng (ABC) ta được:
1 + 1 + (– 2) – 4 = – 4 ≠ 0.
Suy ra điểm D không thuộc mặt phẳng (ABC).
Vậy bốn điểm A, B, C, D không đồng phẳng.
e) Khoảng cách từ điểm D đến mặt phẳng (ABC) là:
d(D, (ABC)) =
Bài tập 6: Viết phương trình tổng quát của mặt phẳng (P) trong mỗi trường hợp sau:
a) (P) đi qua điểm M(– 3; 1; 4) và có một vectơ pháp tuyến là ;
b) (P) đi qua điểm N(2; – 1; 5) và có cặp vectơ chỉ phương là và ;
c) (P) đi qua điểm I(4; 0; – 7) và song song với mặt phẳng (Q): 2x + y – z – 3 = 0;
d) (P) đi qua điểm K(– 4; 9; 2) và vuông góc với đường thẳng
Lời giải:

Phương trình mặt phẳng (P) là:


Bài tập 7: Viết phương trình của mặt cầu (S) trong mỗi trường hợp sau:
a) (S) có tâm I(4; – 2; 1) và bán kính R = 9;
b) (S) có tâm I(3; 2; 0) và đi qua điểm M(2; 4; – 1);
c) (S) có đường kính là đoạn thẳng AB với A(1; 2; 0) và B(– 1; 0; 4).
Lời giải:
a) Phương trình mặt cầu (S) có tâm I(4; – 2; 1) và bán kính R = 9 là:
(x – 4)2 + (y + 2)2 + (z – 1)2 = 81.
b) Ta có bán kính của mặt cầu (S) là R = IM = .
Phương trình mặt cầu (S) là:
(x – 3)2 + (y – 2)2 + z2 = 6.
c) Tâm của mặt cầu (S) là trung điểm I của đoạn thẳng AB.
Ta có . Suy ra I(0; 1; 2).
Bán kính của mặt cầu (S) là R = IA = .
Phương trình mặt cầu (S) là:
x2 + (y – 1)2 + (z – 2)2 = 6.
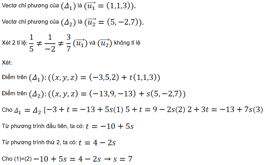
Bài tập 8: Xác định vị trí tương đối của hai đường thẳng ∆1 và ∆2 trong mỗi trường hợp sau:

Lời giải:

Thay t vào các phương trình còn lại:

Vậy 2 đường thẳng song song.
c)


Phương trình 1 mâu thuẫn với phương trình 2
Hệ phương trình không có nghiệm, do vậy 2 đường chéo nhau.
Bài tập 9: Tìm góc giữa hai đường thẳng ∆1 và ∆2, biết và (t1, t2 là tham số) (làm tròn kết quả đến hàng đơn vị của độ).
Lời giải:

Bài tập 10: Tính góc giữa đường thẳng ∆ và mặt phẳng (P) (làm tròn kết quả đến hàng đơn vị của độ), biết (t là tham số) và (P): x + y + z + 3 = 0.
Lời giải:
Đường thẳng ∆ có vectơ chỉ phương , mặt phẳng (P) có vectơ pháp tuyến .
Ta có: sin (∆, (P)) = .
Suy ra (∆, (P)) ≈ 19°.
Bài tập 11: Tính góc giữa hai mặt phẳng (P1) và (P2), biết
(P1): 2x + 2y – z – 1 = 0 và (P2): x – 2y – 2z + 3 = 0.
Lời giải:
Ta có:

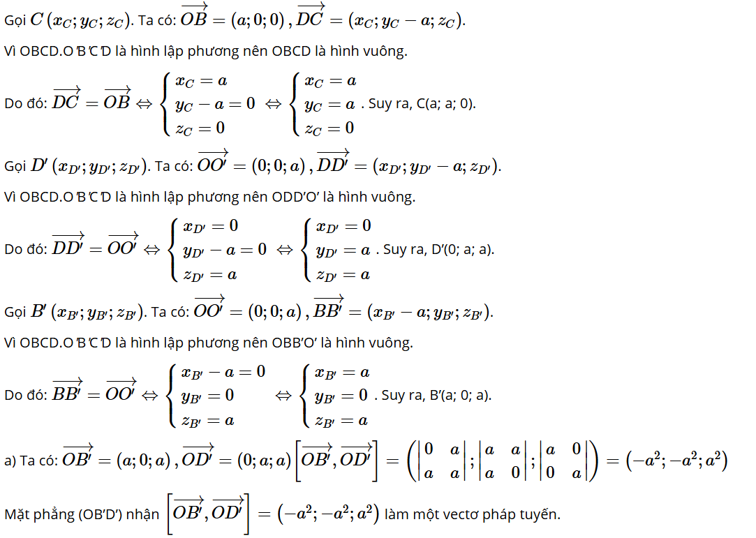
Bài tập 12: Trong không gian với hệ trục toạ độ Oxyz, cho hình lập phương OBCD.O'B'C'D' có O(0; 0; 0), B(a; 0; 0), D(0; a; 0), O'(0; 0; a) với a > 0.
a) Chứng minh rằng đường chéo O'C vuông góc với mặt phẳng (OB'D').
b) Chứng minh rằng giao điểm của đường chéo O'C và mặt phẳng (OB'D') là trọng tâm của tam giác OB'D'.
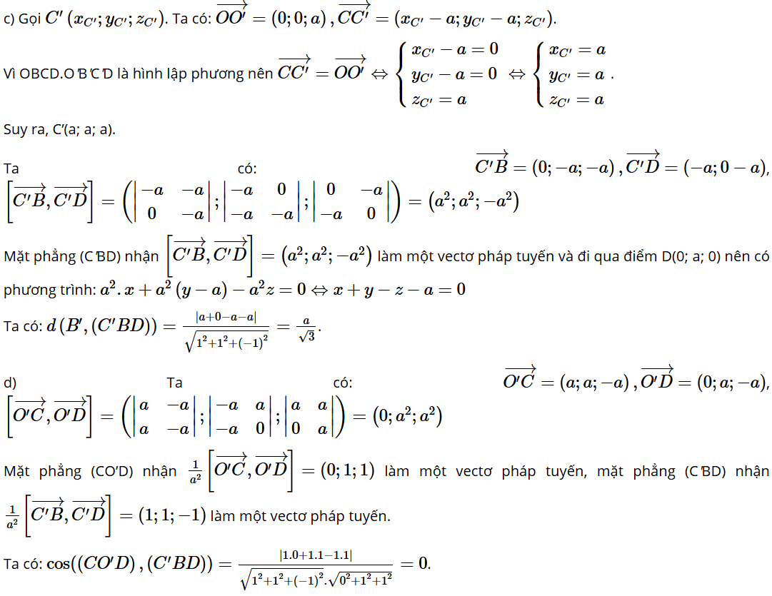
c) Tính khoảng cách từ điểm B' đến mặt phẳng (C'BD).
d) Tính côsin góc giữa hai mặt phẳng (CO'D) và (C'BD).
Lời giải:



Bài tập 13: Hình 43 minh hoạ đường bay của một chiếc trực thăng H cất cánh từ một sân bay. Xét hệ trục toạ độ Oxyz có gốc toạ độ O là chân tháp điều khiển của sân bay; trục Ox là hướng đông (Ð), trục Oy là hướng bắc (B) và trục Oz là trục thẳng đứng, đơn vị trên mỗi trục là kilômét.

Trực thăng cất cánh từ điểm G. Vectơ chỉ vị trí của trực thăng tại thời điểm t phút sau khi cất cánh (t ≥ 0) có toạ độ là: = (1 + t; 0,5 + 2t; 2t).
a) Tìm góc θ mà đường bay tạo với phương ngang.
b) Lập phương trình đường thẳng GF, trong đó F là hình chiếu của điểm H lên mặt phẳng (Oxy).
c) Trực thăng bay vào mây ở độ cao 2 km. Tìm toạ độ điểm mà máy bay trực thăng bắt đầu đi vào đám mây.
d) Giả sử một đỉnh núi nằm ở điểm A(5; 4,5; 3). Tìm giá trị của t khi HM vuông góc với đường bay GH. Tìm khoảng cách từ máy bay trực thăng đến đỉnh núi tại thời điểm đó.
Lời giải:
a) Ta có góc θ mà đường bay tạo với phương ngang chính là góc giữa đường thẳng GH và mặt phẳng (Oxy).
Tại thời điểm t = 0 thì . Trực thăng cất cánh từ điểm G nên G(1; 0,5; 0).
Tại thời điểm t = 1, trực thăng bay đến vị trí K thuộc đường thẳng GH với K(2; 2,5; 2).
Đường thẳng GH có vectơ chỉ phương và mặt phẳng (Oxy) có vectơ pháp tuyến .
Ta có sin (GH, (Oxy)) = .
Suy ra (GH, (Oxy)) ≈ 42°. Vậy θ ≈ 42°.
b) Gọi K' là hình chiếu của điểm K lên mặt phẳng (Oxy). Khi đó K'(2; 2,5; 0).
Vì F là hình chiếu của điểm H lên mặt phẳng (Oxy) nên K' ∈ GF.
Do đó đường thẳng GF có vectơ chỉ phương là .
Phương trình tham số của đường thẳng GF là (t' là tham số).
c) Trực thăng bay vào mây ở độ cao 2 km, tức là vị trí điểm mà trực thăng bắt đầu đi vào đám mây có cao độ z = 2, khi đó 2t = 2, suy ra t = 1.
Vậy tọa độ điểm mà trực thăng bắt đầu đi vào đám mây là (2; 2,5; 2).
d) Ta có H(1 + t; 0,5 + 2t; 2t). Khi đó, .
Đường thẳng GH có vectơ chỉ phương .
HM vuông góc với đường bay GH khi
⇔ (4 – t) ∙ 1 + (4 – 2t) ∙ 2 + (3 – 2t) ∙ 2 = 0 ⇔ t = 2.
Vậy t = 2 thì HM vuông góc với đường bay GH.
Khi đó, khoảng cách từ đỉnh núi đến máy bay trực thăng là:
HM = (km).
Bài tập 14: Trong không gian với hệ toạ độ Oxyz, đài kiểm soát không lưu sân bay có toạ độ O(0; 0; 0), mỗi đơn vị trên trục ứng với 1 km. Máy bay bay trong phạm vi cách đài kiểm soát 417 km sẽ hiển thị trên màn hình ra đa. Một máy bay đang ở vị trí A(– 688; – 185; 8), chuyển động theo đường thẳng d có vectơ chỉ phương là và hướng về đài kiểm soát không lưu (Hình 44).

a) Xác định toạ độ của vị trí sớm nhất mà máy bay xuất hiện trên màn hình ra đa.
b) Xác định toạ độ của vị trí mà máy bay bay gần đài kiểm soát không lưu nhất. Tính khoảng cách giữa máy bay và đài kiểm soát không lưu lúc đó.
c) Xác định toạ độ của vị trí mà máy bay ra khỏi màn hình ra đa.
Lời giải:
a) Phương trình tham số của đường thẳng d đi qua điểm A(– 688; – 185; 8) và có vectơ chỉ phương là: (t là tham số).
Gọi B là vị trí sớm nhất mà máy bay xuất hiện trên màn hình ra đa.
Vì B ∈ d nên B(– 688 + 91t; – 185 + 75t; 8).
B là vị trí sớm nhất mà máy bay xuất hiện trên màn hình ra đa khi OB = 417, tức là
⇔ 13 906t2 – 152 966t + 333 744 = 0
⇔ t = 3 hoặc t = 8.
+ Với t = 3, ta có B(– 415; 40; 8).
Khi đó AB = .
+ Với t = 8, ta có B(– 88; 415; 8).
Khi đó AB = .
Vì 353,77 < 848,53 nên tọa độ vị trí sớm nhất mà máy bay xuất hiện trên màn hình ra đa là (– 415; 40; 8).
b) Gọi H là vị trí mà máy bay bay gần đài kiểm soát không lưu nhất. Khi đó, khoảng OH phải ngắn nhất, điều này xảy ra khi và chỉ khi OH ⊥ d.
Vì H ∈ d nên H(– 688 + 91t'; – 185 + 75t'; 8).
Ta có (– 688 + 91t'; – 185 + 75t'; 8).
OH ⊥ d
⇔ (– 688 + 91t') ∙ 91 + (– 185 + 75t') ∙ 75 + 8 ∙ 0 = 0
⇔ 13 906t' – 76 483 = 0 ⇔ t' = .
Suy ra H .
Khoảng cách giữa máy bay và đài kiểm soát không lưu lúc đó là:
OH = (km).
c) Từ kết quả ở câu a), ta suy ra toạ độ của vị trí mà máy bay ra khỏi màn hình ra đa là (– 88; 415; 8).