Câu hỏi khởi động: Một hòn đá rơi từ mỏm đá có độ cao 150 m so với mặt đất theo phương thẳng đứng. Biết tốc độ rơi của hòn đá (tính theo đơn vị m/s) tại thời điểm t (tính theo giây) được cho bởi công thức v(t) = 9,8t.
Quãng đường rơi được S của hòn đá tại thời điểm t được cho bởi công thức nào? Sau bao nhiêu giây thì hòn đá chạm đến mặt đất?
Lời giải:
Sau bài học này, ta giải quyết được bài toán trên như sau:
Gọi S = S(t) là quãng đường rơi được của hòn đá tại thời điểm t (S(t) tính theo m, t tính theo giây).
Suy ra S'(t) = v(t), do đó S(t) là một nguyên hàm của v(t).
Ta có . Suy ra S(t) = 4,9t2 + C.
Mà hòn đá rơi từ mỏm đá có độ cao 150 m so với mặt đất theo phương thẳng đứng tức là tại thời điểm t = 0 thì S = 0 hay S(0) = 0, suy ra C = 0.
Vậy công thức tính quãng đường rơi được S(t) của hòn đá tại thời điểm t là:
S(t) = 4,9t2.
Khi hòn đá chạm đất thì S(t) = 150. Ta có 4,9t2 = 150. Suy ra .
Mà t > 0 nên .
Vậy sau giây thì hòn đá chạm đến mặt đất.
I. Khái niệm nguyên hàm
Hoạt động 1: Cho hàm số F(x) = x3, x ∈ (– ∞; + ∞). Tính F'(x).
Lời giải:
F'(x) = (x3)' = 3x2.
Luyện tập 1: Hàm số F(x) = cot x là nguyên hàm của hàm số nào? Vì sao?
Lời giải:
Hàm số F(x) = cot x là nguyên hàm của hàm số f(x) = vì (cot x)' = với mọi x ∈ ℝ \ {kπ| k ∈ ℤ}.
Hoạt động 2: Cho hàm số F(x) = x3 – 1, x ∈ ℝ và G(x) = x3 + 5, x ∈ ℝ.
a) Cả hai hàm số F(x) và G(x) có phải là nguyên hàm của hàm số f(x) = 3x2 trên ℝ hay không?
b) Hiệu F(x) – G(x) có phải là một hằng số C (không phụ thuộc vào x) hay không?
Lời giải:

Luyện tập 2: Tìm tất cả các nguyên hàm của hàm số f(x) = cos x trên ℝ.
Lời giải:
- Do (sin x)' = cos x nên sin x là một nguyên hàm của hàm số f(x) = cosx trên R.
- Vậy mọi nguyên hàm của hàm số f(x) = cosx đều có dạng sinx + C, với C là một hằng số.
Luyện tập 3: Chứng tỏ rằng
Lời giải:
Do nên là một nguyên hàm của hàm số f(x) = kx2 trên ℝ.
Vậy
II. Tính chất của nguyên hàm
Hoạt động 3: Cho f(x) là hàm số liên tục trên K, k là hằng số thực khác 0.
a) Giả sử F(x) là một nguyên hàm của hàm số f(x) trên K. Hỏi kF(x) có phải là nguyên hàm của hàm số kf(x) trên K hay không?
b) Giả sử G(x) là một nguyên hàm của hàm số kf(x) trên K. Đặt G(x) = kH(x) trên K. Hỏi H(x) có phải là nguyên hàm của hàm số f(x) trên K hay không?
c) Nêu nhận xét về và .
Lời giải:

Luyện tập 4: Chứng tỏ rằng với n là số nguyên dương.
Lời giải:

Hoạt động 4: Cho f(x), g(x) là hai hàm số liên tục trên K.
a) Giả sử F(x), G(x) lần lượt là nguyên hàm của các hàm số f(x), g(x) trên K. Hỏi F(x) + G(x) có phải là nguyên hàm của hàm số f(x) + g(x) trên K hay không?
b) Giả sử H(x), F(x) lần lượt là nguyên hàm của các hàm số f(x) + g(x), f(x) trên K. Đặt G(x) = H(x) – F(x) trên K. Hỏi G(x) có phải là nguyên hàm của hàm số g(x) trên K hay không?
c) Nêu nhận xét về và
Lời giải:
a) Vì F(x), G(x) lần lượt là nguyên hàm của các hàm số f(x), g(x) trên K nên ta suy ra F'(x) = f(x), G'(x) = g(x).
Do đó, F'(x) + G'(x) = f(x) + g(x).
Mà F'(x) + G'(x) = [F(x) + G(x)]' nên [F(x) + G(x)]' = f(x) + g(x).
Từ đó suy ra F(x) + G(x) là một nguyên hàm của hàm số f(x) + g(x) trên K.
b) Vì H(x), F(x) lần lượt là nguyên hàm của các hàm số f(x) + g(x), f(x) trên K nên ta suy ra H'(x) = f(x) + g(x), F'(x) = f(x).
Ta có G(x) = H(x) – F(x).
Suy ra G'(x) = [H(x) – F(x)]' = H'(x) – F'(x) = f(x) + g(x) – f(x) = g(x).
Vậy G(x) là một nguyên hàm của hàm số g(x) trên K.
c) Từ câu a, ta suy ra . (1)
Lại có .
Vì C, C1, C2 là các hằng số tùy ý trên K nên ta có C1 + C2 = C tùy ý trên K.
Do đó, . (2)
Từ (1) và (2) suy ra
Luyện tập 5: Tìm
Lời giải:

Bài tập
Bài tập 1: Hàm số F(x) = x3 + 5 là nguyên hàm của hàm số:
A. f(x) = 3x2.
B. f(x) = + 5x + C.
C. f(x) = + 5x.
D. f(x) = 3x2 + 5x.
Đáp án: A
Ta có F'(x) = (x3 + 5)' = 3x2 nên F(x) là một nguyên hàm của hàm số f(x) = 3x2.
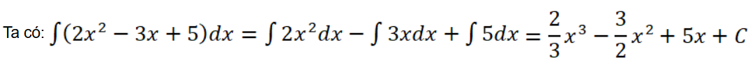
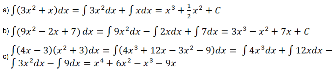
Bài tập 2: Tìm nguyên hàm của các hàm số sau:
a) f(x) = 3x2 + x;
b) f(x) = 9x2 – 2x + 7;
c) f(x) = (4x – 3)(x2 + 3).
Lời giải:

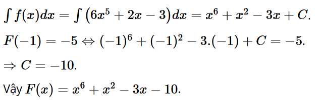
Bài tập 3: Tìm nguyên hàm F(x) của hàm số f(x) = 6x5 + 2x – 3, biết F(– 1) = – 5.
Lời giải:

Bài tập 4: Một vườn ươm cây cảnh bán một cây sau 6 năm trồng và uốn tạo dáng. Tốc độ tăng trưởng trong suốt 6 năm được tính xấp xỉ bởi công thức h'(t) = 1,5t + 5, trong đó h(t) (cm) là chiều cao của cây sau t (năm) (Nguồn: R. Larson and B. Edwards, Calculus 10e Cengage 2014). Biết rằng, cây con khi được trồng cao 12 cm.
a) Viết công thức tính chiều cao của cây sau t năm.
b) Khi được bán, cây cao bao nhiêu centimét?
Lời giải:
a) Công thức chiều cao h(t) của cây sau t năm là một nguyên hàm của hàm số h'(t).
Ta có .
Suy ra h(t) = 0,75t2 + 5t + C.
Vì cây con khi được trồng cao 12 cm nên h(0) = 12.
Do đó 0,75 ∙ 02 + 5 ∙ 0 + C = 12, suy ra C = 12.
Vậy công thức tính chiều cao của cây sau t năm là h(t) = 0,75t2 + 5t + 12.
b) Khi cây được bán, tức là t = 6, ta có h(6) = 0,75 ∙ 62 + 5 ∙ 6 + 12 = 69.
Vậy khi được bán, cây cao 69 cm.
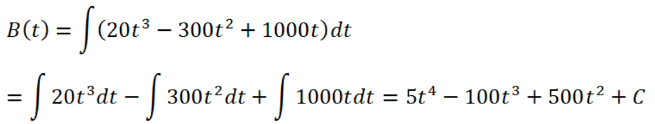
Bài tập 5: Tại một lễ hội dân gian, tốc độ thay đổi lượng khách tham dự được biểu diễn bằng hàm số
B'(t) = 20t3 – 300t2 + 1 000t,
trong đó t tính bằng giờ (0 ≤ t ≤ 15), B'(t) tính bằng khách/giờ.
(Nguồn: A. Bigalke et al., Mathematik, Grundkurs ma-1, Cornelsen 2016)
Biết rằng sau một giờ, 500 người đã có mặt tại lễ hội.
a) Viết công thức của hàm số B(t) biểu diễn số lượng khách tham dự lễ hội với 0 ≤ t ≤ 15.
b) Sau 3 giờ sẽ có bao nhiêu khách tham dự lễ hội?
c) Số lượng khách tham dự lễ hội lớn nhất là bao nhiêu?
d) Tại thời điểm nào thì tốc độ thay đổi lượng khách tham dự lễ hội là lớn nhất?
Lời giải:
a) Để tìm được công thức biểu diễn số lượng khách tham dự lễ hội, ta cần nguyên hàm hàm số B’(t):

Mà sau một giờ, có 500 người đã có mặt tại lễ hội, tức B(1) bằng 500. Ta có:

Vậy C = 95. Do đó, công thức biểu diễn số lượng khách tham dự lễ hội là:

b) Số lượng khách tham gia sau 3 giờ là:

Vậy sau 3 giờ, có 2300 khách tham dự lễ hội.
c) Để tính số lượng khách lớn nhất tham dự lễ hội, ta cần tìm giá trị lớn nhất của B(t) trong khoảng 0 ≤ t ≤ 15. Trước tiên ta tìm các điểm cực trị của hàm số B(t) bằng cách giải phương trình đạo hàm B’(t) =0:

Do đó, hàm số B(t) có các điểm cực trị là t = 0,5,10. Tính B(t) tại các điểm cực trị và tại điểm t lớn nhất =15:


Vậy tốc độ thay đổi khách lớn nhất của lễ hội là 962 người/giờ.
Bài tập 6: Đối với các dự án xây dựng, chi phí nhân công lao động được tính theo số ngày công. Gọi m(t) là số lượng công nhân được sử dụng ở ngày thứ t (kể từ khi khởi công dự án). Gọi M(t) là số ngày công được tính đến hết ngày thứ t (kể từ khi khởi công dự án). Trong kinh tế xây dựng, người ta đã biết rằng M'(t) = m(t). Một công trình xây dựng dự kiến hoàn thành trong 400 ngày. Số lượng công nhân được sử dụng cho bởi hàm số m(t) = 800 – 2t, trong đó t tính theo ngày (0 ≤ t ≤ 400), m(t) tính theo người.
(Nguồn: A. Bigalke et al., Mathematik, Grundkurs ma-1, Cornelsen 2016)
Đơn giá cho một ngày công lao động là 400 000 đồng.
Tính chi phí nhân công lao động của công trình đó (cho đến lúc hoàn thành).
Lời giải:
