Câu hỏi khởi động: Gốm Bát Tràng là tên gọi chung của các loại đồ gốm Việt Nam được sản xuất tại làng Bát Tràng, thuộc xã Bát Tràng, huyện Gia Lâm, Hà Nội. Với hơn 700 năm tuổi, gốm Bát Tràng nổi tiếng ở trong và ngoài nước về chất lượng gốm và độ tinh xảo của các sản phẩm. Những chiếc chén uống trà Hình 10 có dạng khối tròn xoay.

Thể tích của các khối tròn xoay được tính như thế nào?
Lời giải:

I. Tính diện tích hình phẳng
Hoạt động 1: Cho hàm số y = f(x) = x3 – 2x2 – x + 2 có đồ thị được minh họa ở Hình 11.

a) Quan sát Hình 11, hãy cho biết các hình phẳng H1, H2, H3 lần lượt được giới hạn bởi các đường thẳng và đồ thị hàm số nào.
b) Tính diện tích của các hình phẳng đó.
c) Gọi H là hợp của các hình phẳng giới hạn bởi đồ thị hàm số y = f(x), trục hoành và các đường thẳng x = 0, x = 3. Chứng tỏ rằng diện tích SH của hình phẳng H bằng
Lời giải:
a) Quan sát Hình 11, ta thấy:
Hình phẳng H1 được giới hạn bởi đồ thị hàm số y=f(x), trục hoành và các đường thẳng x=0, x=A
Hình phẳng H2 được giới hạn bởi đồ thị hàm số y=f(x), trục hoành và hai đường thẳng x=A, x=B
Hình phẳng H3 được giới hạn bởi đồ thị hàm số y=f(x), trục hoành và hai đường thẳng x=B, x=3
b) Tính diện tích SH1, SH2, SH3 của các hình phẳng
Diện tích H1 bằng diện tích của tam giác được giới hạn bởi đồ thị hàm số y=f(x), trục hoành và đường thẳng x=A,x=0. Diện tích này có thể được tính bằng công thức:

Diện tích H2 bằng diện tích của tam giác được giới hạn bởi đồ thị hàm số y=f(x), trục hoành và đường thẳng x=A, x=B. Diện tích này có thể được tính bằng công thức:

Diện tích H3 bằng diện tích của tam giác được giới hạn bởi đồ thị hàm số y=f(x), trục hoành và đường thẳng x=B,x=3. Diện tích này có thể được tính bằng công thức:

c) Ta có:

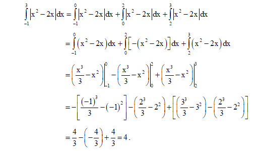
Luyện tập 1: Trong Hình 13, tính diện tích hình phẳng giới hạn bởi đồ thị của hàm số y = x2 – 2x, trục Ox và hai đường thẳng x = – 1, x = 3.

Lời giải:
Diện tích hình phẳng giới hạn bởi đồ thị của hàm số y = x2 – 2x, trục Ox và hai đường thẳng x = – 1, x = 3 là:

Hoạt động 2: Cho các hàm số y = 2x, y = x.
Gọi S1 là diện tích hình phẳng giới hạn bởi trục Ox, hai đường thẳng x = 1, x = 2 và đồ thị hàm số y = 2x.
Gọi S2 là diện tích hình phẳng giới hạn bởi trục Ox, hai đường thẳng x = 1, x = 2 và đồ thị hàm số y = x.
Gọi S là diện tích hình phẳng giới hạn bởi các đồ thị hàm số y = 2x, y = x và hai đường thẳng x = 1, x = 2 (Hình 14).

a) Biểu diễn S theo S1, S2.
b) So sánh S và
Lời giải:

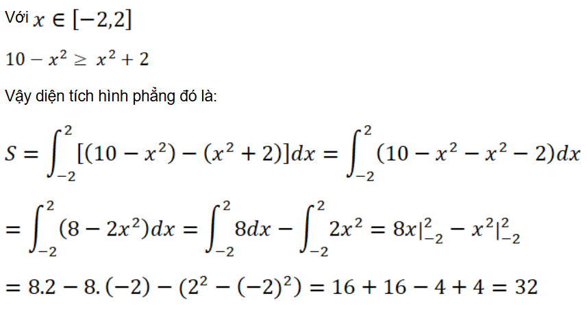
Luyện tập 2: Tính diện tích hình phẳng giới hạn bởi các đồ thị hàm số y = 10 – x2, y = x2 + 2 và hai đường thẳng x = – 2, x = 2.
Lời giải:

II. Tính thể tích của hình khối
Hoạt động 3: Cắt khối lập phương có cạnh bằng 1 bởi một mặt phẳng tùy ý vuông góc với trục Ox tại x, với 0 ≤ x ≤ 1 ta nhận được hình phẳng có diện tích là S(x) (Hình 17).

a) Tính S(x).
b) So sánh thể tích khối lập phương đó với
Lời giải:
a) Ta có S(x) = 12 = 1.
b) Thể tích khối lập phương là V = 13 = 1.
Ta có .
Vậy thể tích khối lập phương đó bằng
Luyện tập 3: Cắt một vật thể bởi hai mặt phẳng vuông góc với trục Ox tại x = 1 và x = 2. Một mặt phẳng tùy ý vuông góc với Ox tại x (1 ≤ x ≤ 2) cắt vật thể đó theo hình phẳng có diện tích là S(x) = 2x. Tính thể tích V của phần vật thể được giới hạn bởi hai mặt phẳng trên.
Lời giải:

Luyện tập 4: Cho khối chóp cụt đều tạo bởi khối chóp đỉnh S, diện tích hai đáy lần lượt là B, B' và chiều cao h. Chọn trục Ox chứa đường cao của khối chóp và gốc O trùng với đỉnh S (Hình 21). Hai mặt phẳng đáy của khối chóp cụt đều lần lượt cắt Ox tại I và I'.

Đặt OI = b, OI' = a (a < b). Một mặt phẳng (P) vuông góc với trục Ox tại x (a ≤ x ≤ b), cắt khối chóp cụt đều theo hình phẳng có diện tích S(x). Người ta chứng minh rằng S(x) = . Tính thể tích khối chóp cụt đều đó.
Lời giải:
Thể tích khối chóp cụt đều đó là:
.
Vì hay và h = b – a nên
.
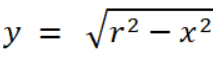
Hoạt động 4: Xét nửa hình tròn tâm O, bán kính r (Hình 24). Nửa hình tròn đó là hình phẳng giới hạn bởi trục Ox và đồ thị hàm số y = f(x).
a) Tìm hàm số y = f(x).
b) Quay nửa hình tròn đó quanh trục hoành, ta nhận được hình cầu tâm O bán kính r (Hình 25). Xét điểm M(x; f(x)) (– r ≤ x ≤ r) nằm trên nửa đường tròn tâm O bán kính r. Gọi H(x; 0) là hình chiếu của điểm M trên trục Ox. Khi quay nửa hình tròn quanh trục hoành, đoạn thẳng HM tạo nên một hình tròn tâm H bán kính f(x).
Tính diện tích S(x) của hình tròn đó theo f(x).
Từ đó, sử dụng công thức tính thể tích vật thể, hãy tính thể tích V của hình cầu tâm O bán kính r.

Lời giải:
a)
Để tìm hàm số y = f(x), ta cần xác định phương trình của nửa hình tròn.
Ta có hình tròn tâm O, bán kính r có phương trình là: x2 + y2 = r2
Do đồ thị của nửa hình tròn nằm ở nửa trên trục Ox, tức là phần dương của đồ thị. Vậy nửa hình tròn giới hạn bởi trục Ox và đồ thị hàm số y = f(x) có phương trình là:

b)
Diện tích S(x) của hình tròn tâm H bán kính f(x) là:

Thể tích V của hình cầu tâm O tính theo công thức tính thể tích của vật thể là:

Luyện tập 5: Cho hình phẳng giới hạn bởi đồ thị hàm số f(x) = , trục hoành và hai đường thẳng x = 0, . Tính thể tích khối tròn xoay tạo thành khi cho hình phẳng đó quay quanh trục Ox.
Lời giải:

Bài tập
Bài tập 1: Hình thang cong ABCD ở Hình 28 có diện tích bằng:

Đáp án: B
Hình thang cong ABCD được giới hạn bởi đồ thị các hàm số , y = – x + 3 và hai đường thẳng x = 1, x = 2.
Ta có với mọi x ∈ [1; 2].
Vậy diện tích của hình thang cong đó là:
Bài tập 2: Thể tích khối tròn xoay tạo thành khi cho hình phẳng giới hạn bởi đồ thị hàm số , trục hoành và hai đường thẳng x = 0, x = 2 quay quanh trục Ox là:

Đáp án: B

Bài tập 3: Cho đồ thị hàm số y = ex và hình phẳng được tô màu như Hình 29.

a) Hình phẳng đó được giới hạn bởi các đường nào?
b) Tính diện tích hình phẳng đó.
Lời giải:

Bài tập 4: Cho đồ thị các hàm số , y = x + 1 và hình phẳng được tô màu như Hình 30.

a) Hình phẳng đó được giới hạn bởi các đường nào?
b) Tính diện tích hình phẳng đó.
Lời giải:
a)
Hình phẳng được tô màu trên Hình 30 được giới hạn bởi đồ thị các hàm số y = x + 1, và các đường thẳng x = 1, x = 2.
b) Ta có x + 1 > với mọi x ∈ [1; 2].
Vậy diện tích hình phẳng đó là:
Bài tập 5: Cho đồ thị hàm số và khối tròn xoay như Hình 31.

a) Hình phẳng được giới hạn bởi các đường nào để khi quay quanh trục Ox ta được khối tròn xoay như Hình 31?
b) Tính thể tích khối tròn xoay đó.
Lời giải:

Bài tập 6: Cho đồ thị hàm số y = f(t) như Hình 32.

a) Tính diện tích hình phẳng giới hạn bởi đồ thị hàm số y = f(t), trục Ot và hai đường thẳng t = 0, t = 2.
b) Hỏi biểu thị cho phần diện tích của hình phẳng giới hạn bởi các đường nào trong Hình 32.
Lời giải:

Bài tập 7: Người ta dự định lắp kính cho cửa của một mái vòm có dạng hình parabol. Hãy tính diện tích mặt kính cần lắp vào, biết rằng vòm cửa cao 21 m và rộng 70 m (Hình 33).

Lời giải:
Chọn hệ tọa độ Oxy với gốc tọa độ O trùng với chân cửa bên trái như hình dưới đây.

Gọi đồ thị hàm số biểu thị cho cửa đã cho có dạng y = ax2 + bx + c (a ≠ 0).
Đồ thị hàm số này đi qua gốc tọa độ O(0; 0) và các điểm (35; 21), (70; 0) nên

Suy ra .
Diện tích mặt kính cần lắp V là diện tích hình phẳng giới hạn bởi đồ thị hàm số , trục Ox và hai đường thẳng x = 0, x = 70.
Ta có (m2).
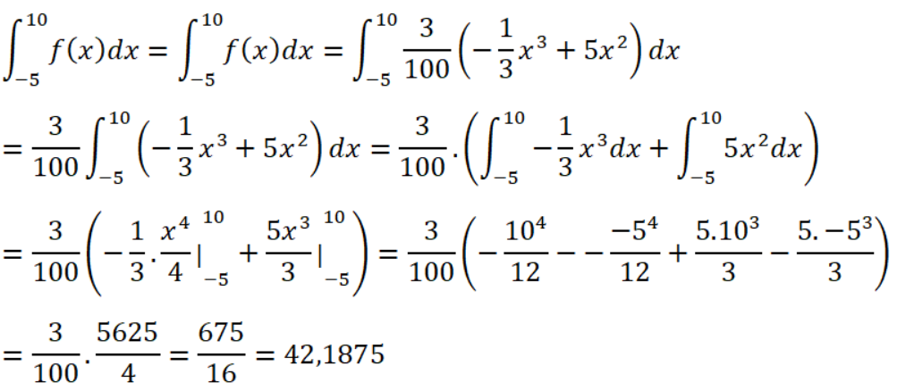
Bài tập 8: Hình 34 minh họa mặt cắt đứng của một con kênh đặt trong hệ trục tọa độ Oxy. Đáy của con kênh là một đường cong cho bởi phương trình

Hãy tính diện tích hình phẳng tô màu xanh trong Hình 34, biết đơn vị trên mỗi trục tọa độ là mét.
Lời giải:
Theo hình 34, hình phẳng được tô màu xanh được giới hạn bởi trục Ox, các đường y = 5x, x = -5, x = 10, y = f(x)
Diện tích hình phẳng đã cho là:

Vậy diện tích hình phẳng là 42,1875 mét vuông.
Bài tập 9: Cho tam giác vuông OPM có cạnh OP nằm trên trục Ox. Giả sử
Gọi 𝒩 là khối tròn xoay thu được khi quay tam giác đó xung quanh trục Ox (Hình 35). Tính thể tích của 𝒩 theo α và ℓ.

Lời giải:

Bài tập 10: Sau khi đo kích thước của thùng rượu vang (Hình 36), bạn Quân xác định thùng rượu vang có dạng hình tròn xoay được tạo thành khi cho hình phẳng giới hạn bởi đồ thị hàm số y = – 0,011x2 – 0,071x + 40, trục Ox và hai đường thẳng x = – 35, x = 35 quay quanh trục Ox. Tính thể tích thùng rượu vang đó, biết đơn vị trên mỗi trục tọa độ là centimét.

Lời giải:
Thể tích thùng rượu vang đó là:
