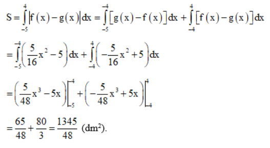
Câu hỏi khởi động: Họa sĩ thiết kế logo hình con cá cho một doanh nghiệp kinh doanh hải sản. Logo là hình phẳng giới hạn bởi hai parabol với các kích thước được cho trong Hình 3 (đơn vị trên mỗi trục tọa độ là decimét).

Làm thế nào để tính diện tích của logo?
Lời giải:
Để tính được diện tích của logo ta cần xác định các hàm số f(x) và g(x), sau đó sử dụng tích phân để tính diện tích hình phẳng giới hạn bởi các đồ thị hàm số f(x), g(x) và hai đường thẳng x = – 5, x = 4.
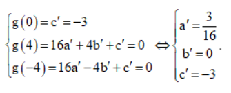
Vì f(x), g(x) là các parabol nên gọi f(x) = ax2 + bx + c (a ≠ 0) và g(x) = a'x2 + b'x + c' (a' ≠ 0).
Quan sát Hình 3, ta thấy:
+ Đồ thị hàm số y = f(x) đi qua các điểm (0; 2), (4; 0) và (– 4; 0) nên

Suy ra .
+ Đồ thị hàm số y = g(x) đi qua các điểm (0; – 3), (4; 0) và (– 4; 0) nên

Suy ra .
Diện tích của logo là:

I. Định nghĩa tích phân
Hoạt động 1: Cho hàm số y = f(x) = x2. Xét hình phẳng (được tô màu) gồm tất cả các điểm M(x; y) trên mặt phẳng tọa độ sao cho 1 ≤ x ≤ 2 và 0 ≤ y ≤ x2 (Hình 4). Hình phẳng đó được gọi là hình thang cong AMNB giới hạn bởi đồ thị của hàm số f(x) = x2, trục Ox và hai đường thẳng x = 1, x = 2.

Chia đoạn [1; 2] thành n phần bằng nhau bởi các điểm chia:
x0 = 1, ,
(Hình 5).
a) Tính diện tích T0 của hình chữ nhật dựng trên đoạn [x0; x1] với chiều cao là f(x0).
Tính diện tích T1 của hình chữ nhật dựng trên đoạn [x1; x2] với chiều cao là f(x1).
Tính diện tích T2 của hình chữ nhật dựng trên đoạn [x2; x3] với chiều cao là f(x2).
…
Tính diện tích Tn – 1 của hình chữ nhật dựng trên đoạn [xn – 1; xn] với chiều cao là f(xn–1).

b) Đặt Sn = T0 + T1 + T2 + … + Tn – 1. Chứng minh rằng:
Sn = ∙ [f(x0) + f(x1) + f(x2) + … + f(xn – 1)].
Tổng Sn gọi là tổng tích phân cấp n của hàm số f(x) = x2 trên đoạn [1; 2].
Lời giải:

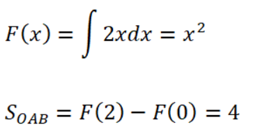
Luyện tập 1: Cho đồ thị hàm số y = f(x) = 2x (x ∈ [0; 2]). Xét tam giác vuông OAB giới hạn bởi đồ thị của hàm số f(x) = 2x, trục Ox và đường thẳng x = 2.
a) Tính diện tích tam giác vuông OAB.
b) Giả sử F(x) là một nguyên hàm của f(x) = 2x trên đoạn [0; 2]. Tính F(2) – F(0). Từ đó hãy chứng tỏ rằng Stam giác vuông OAB = F(2) – F(0).
Lời giải:
a)

Ta có:
O là gốc tọa độ, O(0,0).
A nằm trên trục Ox, do x=2 nên A(2,0)
B nằm trên điểm giao giữa đồ thị hàm số y=2x và đường x=2, y tại B=4 nên B(2,4)
Diện tích tam giác vuông OAB là: 
b)
Ta có:

Giá trị vừa tính thỏa mãn giá trị đã tính ở phần a.
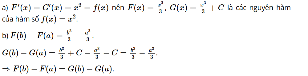
Hoạt động 2: Cho hàm số f(x) = x2.
a) Chứng tỏ F(x) = ; G(x) = là các nguyên hàm của hàm số f(x) = x2.
b) Chứng minh rằng F(b) – F(a) = G(b) – G(a), tức là hiệu số F(b) – F(a) không phụ thuộc việc chọn nguyên hàm.
Lời giải:

Luyện tập 2: Tính
Lời giải:
Ta có
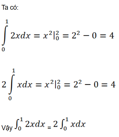
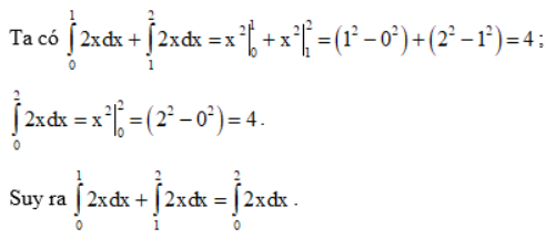
Hoạt động 3: So sánh và
Lời giải:

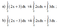
Luyện tập 3: Cho . Tính
Lời giải:
Ta có
Hoạt động 4: So sánh:

Lời giải:

Luyện tập 4: Tính
Lời giải:

Hoạt động 5: So sánh và
Lời giải:

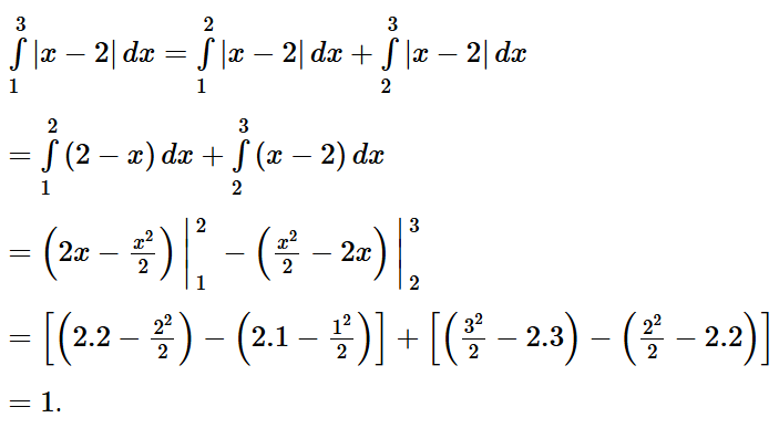
Luyện tập 5: Tính
Lời giải:

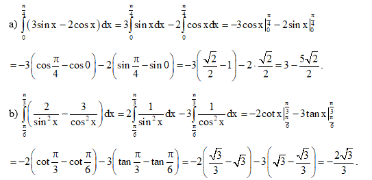
III. Tích phân của một số hàm số sơ cấp
Luyện tập 6: Tính:

Lời giải:

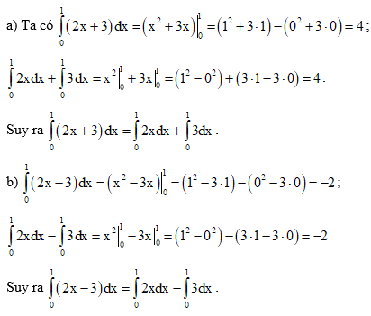
Luyện tập 7: Tính
Lời giải:
Ta có
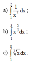
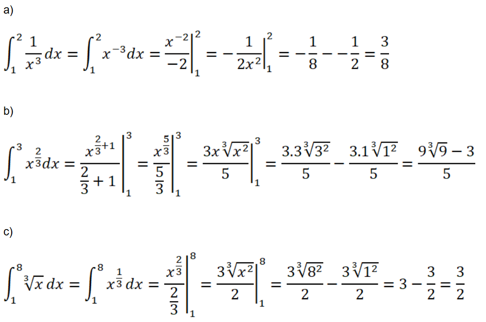
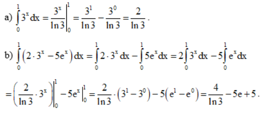
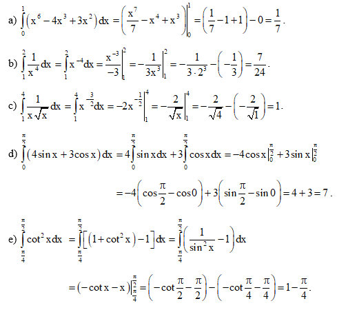
Luyện tập 8: Tính:

Lời giải:

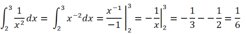
Luyện tập 9: Tính:

Lời giải:

Bài tập
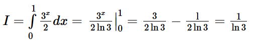
Bài tập 1: Tích phân có giá trị bằng:

Đáp án: A

Bài tập 2: Tích phân có giá trị bằng:

Đáp án: D
Ta có
Bài tập 3: Tích phân có giá trị bằng:
A. .
B. .
C. – 1.
D. 1.
Đáp án: B

Bài tập 4: Cho , F(x) là một nguyên hàm của hàm số f(x) trên đoạn [– 2; 3], F(3) = – 8. Tính F(– 2).
Lời giải:
Vì F(x) là một nguyên hàm của hàm số f(x) trên đoạn [– 2; 3] nên ta có:
.
Mà và F(3) = – 8 nên – 8 – F(– 2) = – 10, suy ra F(– 2) = 2.
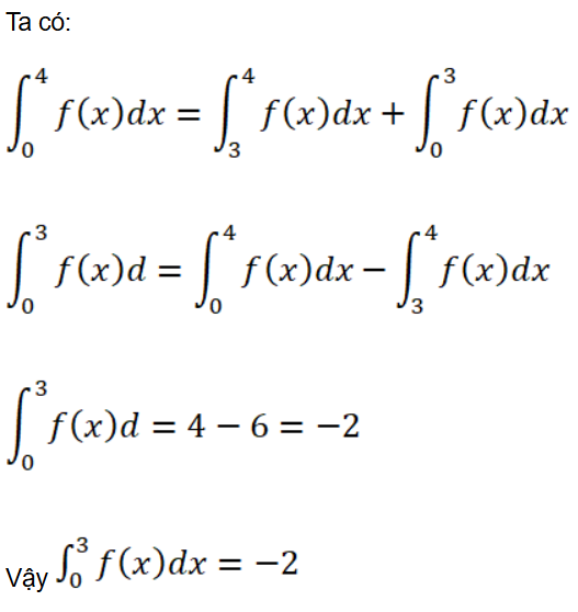
Bài tập 5: Cho . Tính
Lời giải:

Bài tập 6: Tính:

Lời giải:

Bài tập 7:
a) Cho một vật chuyển động với vận tốc y = v(t) (m/s). Cho 0 < a < b và v(t) > 0 với mọi t ∈ [a; b]. Hãy giải thích vì sao biểu thị quãng đường mà vật đi được trong khoảng thời gian từ a đến b (a, b tính theo giây).
b) Áp dụng công thức ở câu a) để giải bài toán sau: Một vật chuyển động với vận tốc v(t) = 2 – sin t (m/s). Tính quãng đường vật di chuyển trong khoảng thời gian từ thời điểm t = 0 (giây) đến thời điểm t = (giây).
Lời giải:
a) Ta có các khái niệm:
+ v(t) là vận tốc tức thời là đại lượng cho biết tốc độ và hướng di chuyển của 1 vật tại thời điểm t (m/s).
+ s là tổng chiều dài quãng đường mà vật di chuyển trong khoảng thời gian nhất định, không phụ thuộc vào hướng di chuyển mà chỉ phụ thuộc vào độ lớn của vận tốc.
Theo định nghĩa của tích phân, tích phân
biển diễn tổng diện tích dưới của đồ thị hàm số v(t) từ t=a đến t=b.
Vì vận tốc v(t) luôn dương trên [a;b], tích phân
chính là tổng của các đoạn đường nhỏ mà vật đã di chuyển đi được từ thời điểm a đến thời điểm b, tức là biểu thị quãng đường vật di chuyển trong khoảng thời gian từ a đến b.
b) Quãng đường vật di chuyển được trong khoảng thời gian từ thời điểm t=0(giây) đến thời điểm
(giây) khi


Bài tập 8: Một vật chuyển động với vận tốc được cho bởi đồ thị ở Hình 9.

a) Tính quãng đường mà vật di chuyển được trong 1 giây đầu tiên.
b) Tính quãng đường mà vật di chuyển được trong 2 giây đầu tiên.
Lời giải:

Gọi phương trình đường thẳng OA là v(t) = at (a ≠ 0).
Vì OA đi qua điểm A(1; 2) nên với t = 1 thì v = 2, ta có 2 = a ∙ 1, suy ra a = 2.
Do đó, OA: v(t) = 2t.
a) Trong 1 giây đầu tiên, vận tốc của vật được biểu diễn bởi hàm số v(t) = 2t (m/s).
Quãng đường mà vật di chuyển được trong 1 giây đầu tiên là:
(m).
b) Trong khoảng thời gian từ thời điểm t = 1 (giây) đến thời điểm t = 2 (giây), vận tốc của vật được biểu diễn bởi hàm số hằng v(t) = 2.
Quãng đường mà vật di chuyển được trong khoảng thời gian từ thời điểm t = 1 (giây) đến thời điểm t = 2 (giây) là:
(m).
Vậy quãng đường mà vật di chuyển được trong 2 giây đầu tiên là s = 1 + 2 = 3 (m).
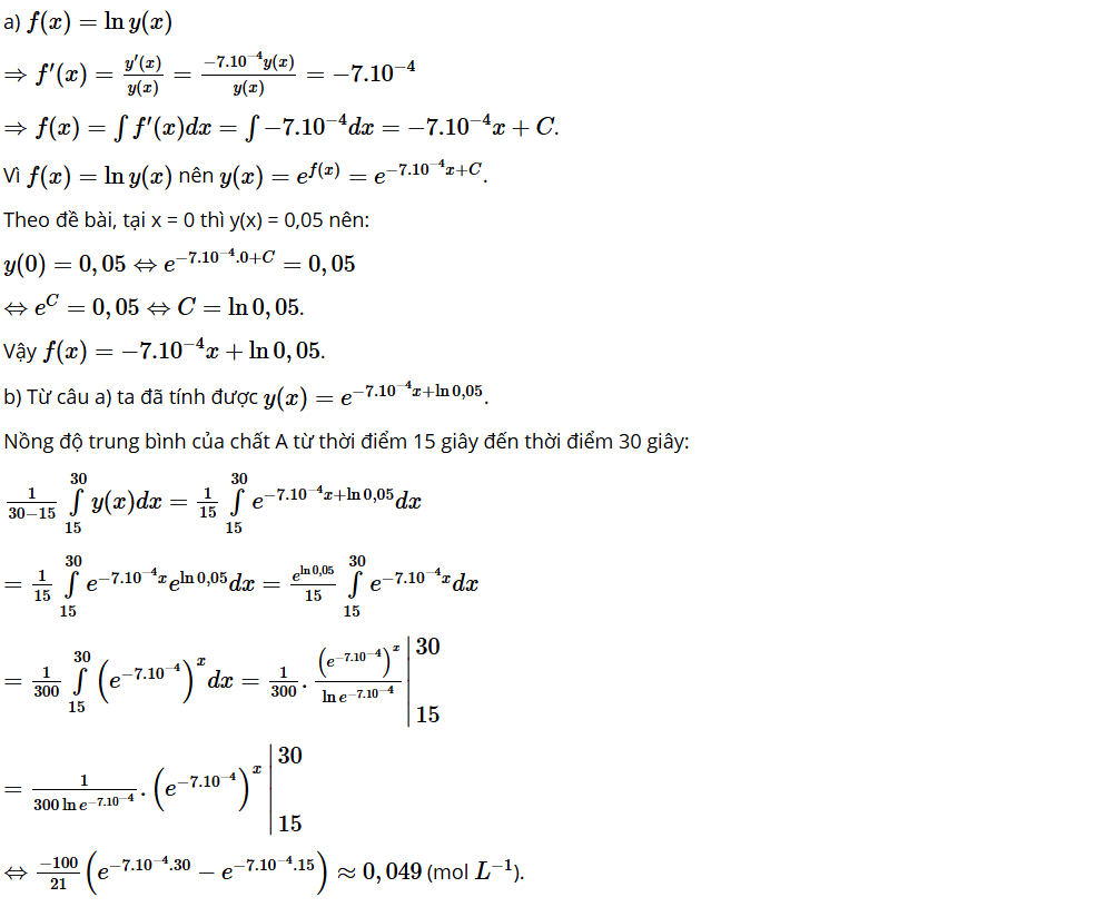
Bài tập 9: Ở nhiệt độ 37 °C, một phản ứng hoá học từ chất đầu A, chuyển hoá thành chất sản phẩm B theo phương trình: A → B. Giả sử y(x) là nồng độ chất A (đơn vị mol L– 1) tại thời gian x (giây), y(x) > 0 với x ≥ 0, thoả mãn hệ thức y'(x) = – 7 ∙ 10– 4y(x) với x ≥ 0. Biết rằng tại x = 0, nồng độ ban đầu của chất A là 0,05 mol L– 1.
a) Xét hàm số f(x) = ln y(x) với x ≥ 0. Hãy tính f'(x), từ đó hãy tìm hàm số f(x).
b) Giả sử ta tính nồng độ trung bình chất A (đơn vị mol L– 1) từ thời điểm a (giây) đến thời điểm b (giây) với 0 < a < b theo công thức . Xác định nồng độ trung bình của chất A từ thời điểm 15 giây đến thời điểm 30 giây.
Lời giải:
