Câu hỏi khởi động: Người ta muốn sản xuất một chi tiết máy được cắt ra từ một ống trụ thép bằng gia công cơ khí chính xác (Hình 1).

Để làm chi tiết máy đó, người ta cần xác định phương trình của mặt cắt trong một hệ tọa độ thích hợp và đưa những dữ liệu đó vào hệ thống máy tính điều khiển các máy gia công cơ khí kĩ thuật số.
Trong không gian với hệ tọa độ Oxyz, phương trình của mặt phẳng là gì?
Làm thế nào để lập được phương trình của mặt phẳng?
Lời giải:
+ Trong không gian với hệ tọa độ Oxyz, mỗi mặt phẳng (P) có phương trình dạng
Ax + By + Cz + D = 0,
trong đó A, B, C không đồng thời bằng 0.
+ Để lập được phương trình của mặt phẳng ta cần biết một điểm nằm trên mặt phẳng và biết vectơ pháp tuyến (hoặc cặp vectơ chỉ phương) của mặt phẳng.
I. Vectơ pháp tuyến, cặp vectơ chỉ phương của mặt phẳng
Hoạt động 1: Cho hình hộp chữ nhật ABCD.A'B'C'D' (Hình 2). Giá của vectơ có vuông góc với mặt phẳng (ABCD) hay không?

Lời giải:

Luyện tập 1: Trong không gian với hệ tọa độ Oxyz, hãy chỉ ra một vectơ pháp tuyến của:
a) Mặt phẳng (Oyz);
b) Mặt phẳng (Ozx).
Lời giải:

Hoạt động 2: Cho hình hộp ABCD.A'B'C'D'. Cho biết hai vectơ có cùng phương hay không. Nhận xét về vị trí tương đối giữa giá của mỗi vectơ và mặt phẳng (ABCD) (Hình 5).

Lời giải:
Vectơ có giá là đường thẳng AB, vectơ có giá là đường thẳng A'D'.
+ Vì ABCD.A'B'C'D' là hình hộp nên hai đường thẳng AB và A'D' chéo nhau. Do đó, hai vectơ không chéo nhau.
+ Vì AB ⊂ (ABCD) nên giá của vectơ nằm trong mặt phẳng (ABCD).
Vì A'D' // (ABCD) nên giá của vectơ song song mặt phẳng (ABCD).
Luyện tập 2: Trong không gian với hệ tọa độ Oxyz, hãy chỉ ra một cặp vectơ chỉ phương của mỗi mặt phẳng (Oxy), (Oyz), (Ozx).
Lời giải:
Mặt phẳng (Oxy) là mặt phẳng đi qua trục Ox, Oy và vuông góc với trục Oz. Do đó, hai vectơ chỉ phương của mặt phẳng (Oxy) là:
-i = (1, 0, 0)
- j = (0, 1, 0)
Mặt phẳng (Oyz) là mặt phẳng đi qua trục Oy, Oz và vuông góc với trục Ox. Do đó, hai vectơ chỉ phương của mặt phẳng (Oyz) là:
- j = (0, 1, 0)
- k = (0, 0, 1)
Mặt phẳng (Ozx) là mặt phẳng đi qua trục Ox, Oz và vuông góc với trục Oy. Do đó, hai vectơ chỉ phương của mặt phẳng (Ozx) là:
-i = (1, 0, 0)
- k = (0, 0, 1)
Hoạt động 3: Cho cặp vectơ chỉ phương , của mặt phẳng (P).
a) Hãy chỉ ra tọa độ của một vectơ vuông góc với cả hai vectơ và (Hình 6).

b) Vectơ có là vectơ pháp tuyến của mặt phẳng (P) hay không?
Lời giải:

Luyện tập 3: Trong Ví dụ 3, vectơ có là vectơ pháp tuyến của mặt phẳng (P) hay không? Vì sao?
Lời giải:
Ta có , do đó vectơ vuông góc với cả hai vectơ và . Vậy vectơ cũng là một vectơ pháp tuyến của mặt phẳng (P).
II. Phương trình tổng quát của mặt phẳng
Hoạt động 4: Trong không gian với hệ tọa độ Oxyz, cho mặt phẳng (P) đi qua điểm A(1; – 1; 2) và có vectơ pháp tuyến là .
Giả sử M(x; y; z) là một điểm tùy ý thuộc mặt phẳng (P) (Hình 7).

a) Tính tích vô hướng theo x, y, z.
b) Tọa độ (x; y; z) của điểm M có thỏa mãn phương trình: x + 2y + 3z – 5 = 0 hay không?
Lời giải:

Luyện tập 4: Chỉ ra một vectơ pháp tuyến của mỗi mặt phẳng sau:
a) (P): x – y = 0;
b) (Q): z – 2 = 0.
Lời giải:

III. Lập phương trình tổng quát của mặt phẳng biết một số điều kiện
Hoạt động 5: Cho mặt phẳng (P) đi qua điểm I(x0; y0; z0) có là vectơ pháp tuyến. Giả sử M(x; y; z) là một điểm bất kì thuộc mặt phẳng (P) (Hình 9).

a) Tính tích vô hướng .
b) Hãy biểu diễn theo x0, y0, z0; x, y, z và A, B, C.
Lời giải:

Luyện tập 5: Cho hai điểm M(2; 1; 0) và N(0; 3; 0). Lập phương trình mặt phẳng trung trực của đoạn thẳng MN.
Lời giải:

Hoạt động 6: Cho mặt phẳng (P) đi qua điểm I(1; 3; – 2) có cặp vectơ chỉ phương là , (Hình 10).

a) Hãy chỉ ra một vectơ pháp tuyến của mặt phẳng (P).
b) Lập phương trình mặt phẳng (P) đi qua điểm I(1; 3; – 2), biết vectơ pháp tuyến
Lời giải:
a) Một vectơ pháp tuyến của mặt phẳng (P) là:
b) Phương trình mặt phẳng (P) là:
5(x – 1) + 4(y – 3) – 3(z + 2) = 0 ⇔ 5x + 4y – 3z – 23 = 0.
Luyện tập 6: Cho mặt phẳng (P) đi qua điểm I(x0; y0; z0). Lập phương trình mặt phẳng (P), biết mặt phẳng đó có cặp vectơ chỉ phương là
Lời giải:

Hoạt động 7: Cho ba điểm H(– 1; 1; 2), I(1; 3; 2), K(– 1; 4; 5) cùng thuộc mặt phẳng (P) (Hình 11).

a) Tìm tọa độ của các vectơ . Từ đó hãy chứng tỏ rằng ba điểm H, I, K không thẳng hàng.
b) Lập phương trình mặt phẳng (P) đi qua điểm H(– 1; 1; 2), biết cặp vectơ chỉ phương là .
Lời giải:


Vậy phương trình mặt phẳng (P) là:

Luyện tập 7: Lập phương trình mặt phẳng đi qua ba điểm M(1; 2; 1), N(0; 3; 2) và P(– 1; 0; 0).
Lời giải:
Ta có .
Xét vectơ , tức là .
Khi đó, là một vectơ pháp tuyến của mặt phẳng đi qua ba điểm M, N, P.
Vậy mặt phẳng (MNP) có phương trình là:
1(x – 1) – 3(y – 2) + 4(z – 1) = 0 ⇔ x – 3y + 4z + 1 = 0.
Luyện tập 8: Lập phương trình mặt phẳng đi qua ba điểm A(2; 0; 0), B(0; 3; 0), C(0; 0; 4).
Lời giải:

IV. Điều kiện song song, vuông góc của hai mặt phẳng
Hoạt động 8: Cho mặt phẳng (P1):
2x + 2y + 2z + 1 = 0 (1)
và mặt phẳng (P2):
x + y + z – 1 = 0 (2)
a) Gọi , lần lượt là vectơ pháp tuyến của hai mặt phẳng (P1), (P2) (Hình 14). Tìm liên hệ giữa và .

b) Tìm các hệ số tự do D1, D2 lần lượt trong hai phương trình (1), (2). So sánh D1 và 2D2.
c) Nêu vị trí tương đối của hai mặt phẳng (P1), (P2).
Lời giải:
a) Ta có . Vậy .
b) Ta có D1 = 1, D2 = – 1, 2D2 = – 2. Nhận thấy D1 ≠ 2D2.
c) Hai mặt phẳng (P1), (P2) song song với nhau.
Luyện tập 9: Cho m ≠ 0. Chứng minh rằng các mặt phẳng (P): x – m = 0, (Q): y – m = 0, (R): z – m = 0 lần lượt song song với các mặt phẳng (Oyz), (Ozx), (Oxy).
Lời giải:

Hoạt động 9: Cho mặt phẳng (P1) có phương trình tổng quát là:
x + 2y + z + 1 = 0
và mặt phẳng (P2) có phương trình tổng quát là:
3x – 2y + z + 5 = 0.
Gọi lần lượt là vectơ pháp tuyến của hai mặt phẳng (P1), (P2). Hai vectơ có vuông góc với nhau hay không?

Lời giải:

Luyện tập 10: Chứng minh rằng hai mặt phẳng (Ozx) và (P): x + 2z – 3 = 0 vuông góc với nhau.
Lời giải:
Ta có (Ozx): y = 0.
Hai mặt phẳng (Ozx) và (P) có vectơ pháp tuyến lần lượt là và .
Vì = 0 ∙ 1 + 1 ∙ 0 + 0 ∙ 2 = 0 nên . Vậy (Ozx) ⊥ (P).
V. Khoảng cách từ một điểm đến một mặt phẳng
Hoạt động 10: Cho mặt phẳng (P) có phương trình tổng quát là Ax + By + Cz + D = 0 với là vectơ pháp tuyến. Cho điểm M0(2; 3; 4). Gọi H(xH; yH; zH) là hình chiếu vuông góc của điểm M0 trên mặt phẳng (P) (Hình 16).

a) Tính tọa độ của theo xH, yH, zH.
b) Nêu nhận xét về phương của hai vectơ . Từ đó, hãy suy ra rằng
.
c) Tính các độ dài theo A, B, C, D. Từ đó, hãy nêu công thức tính khoảng cách từ điểm M0(2; 3; 4) đến mặt phẳng (P).
Lời giải:


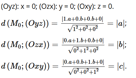
Luyện tập 11: Chứng minh rằng khoảng cách từ điểm M(a; b; c) đến các mặt phẳng (Oyz), (Ozx), (Oxy) lần lượt bằng |a|, |b|, |c|.
Lời giải:

Luyện tập 12: Cho mặt phẳng (P1): 6x – 8y – 3 = 0 và mặt phẳng (P2): 3x – 4y + 2 = 0.
a) Chứng minh rằng (P1) // (P2).
b) Tính khoảng cách giữa hai mặt phẳng song song (P1) và (P2).
Lời giải:
a) Ta có , lần lượt là hai vectơ pháp tuyến của các mặt phẳng (P1), (P2). Do , D1 ≠ 2D2 (vì D1 = – 3, D2 = 2) nên (P1) // (P2).
b) Chọn điểm M ∈ (P1). Suy ra khoảng cách từ điểm M đến mặt phẳng (P2) là: .
Do khoảng cách giữa hai mặt phẳng song song (P1), (P2) bằng d(M, (P2)) nên khoảng cách giữa hai mặt phẳng song song (P1), (P2) bằng
Bài tập
Bài tập 1: Phương trình nào sau đây là phương trình tổng quát của mặt phẳng?
A. – x2 + 2y + 3z + 4 = 0.
B. 2x – y2 + z + 5 = 0.
C. x + y – z2 + 6 = 0.
D. 3x – 4y – 5z + 1 = 0.
Đáp án: D
- Phương trình tổng quát của mặt phẳng có dạng Ax + By + Cz + D = 0, trong đó A, B, C, D không đồng thời bằng 0. Do đó trong các đáp án đã cho, ta thấy chỉ có phương trình ở đáp án D: 3x – 4y – 5z + 1 = 0 là phương trình tổng quát của mặt phẳng.
Bài tập 2: Mặt phẳng x + 2y – 3z + 4 = 0 có một vectơ pháp tuyến là:

Đáp án: C
Mặt phẳng x + 2y - 3z + 4 = 0 có một vectơ pháp tuyến là hệ số của x,y,z: ![]()
Bài tập 3: Lập phương trình mặt phẳng (P) đi qua điểm I(3; – 4; 5) và nhận làm vectơ pháp tuyến.
Lời giải:
Phương trình mặt phẳng (P) là:

Bài tập 4: Lập phương trình mặt phẳng (P) đi qua điểm K(– 1; 2; 3) và nhận hai vectơ làm cặp vectơ chỉ phương.
Lời giải:
Xét vectơ , tức là .
Khi đó, là vectơ pháp tuyến của mặt phẳng (P).
Vậy mặt phẳng (P) có phương trình là:
– 3(x + 1) + 6(y – 2) – 3(z – 3) = 0 ⇔ x – 2y + z + 2 = 0.
Bài tập 5: Lập phương trình mặt phẳng (P) trong mỗi trường hợp sau:
a) (P) đi qua điểm I(3; – 4; 1) và vuông góc với trục Ox;
b) (P) đi qua điểm K(– 2; 4; – 1) và song song với mặt phẳng (Ozx);
c) (P) đi qua điểm K(– 2; 4; – 1) và song song với mặt phẳng (Q): 3x + 7y + 10z + 1 = 0.
Lời giải:
a) Khi mặt phẳng vuông góc với trục Ox, phương trình của nó có dạng: x = c
Vì mặt phẳng đi qua điểm I(3, -4, 1), nên phương trình mặt phẳng là: x = 3
b) Khi mặt phẳng song song với mặt phẳng (Ozx), phương trình của nó có dạng: y = c
Vì mặt phẳng đi qua điểm K(-2, 4, -1), nên phương trình mặt phẳng là: y = 4

Bài tập 6: Lập phương trình mặt phẳng (P) đi qua ba điểm A(1; 1; 1), B(0; 4; 0), C(2; 2; 0).
Lời giải:
Ta có: .
Xét vectơ , tức là .
Khi đó, là vectơ pháp tuyến của mặt phẳng (P).
Vậy mặt phẳng (P) có phương trình là:
– 2(x – 1) – 2(y – 1) – 4(z – 1) = 0 ⇔ x + y + 2z – 4 = 0.
Bài tập 7: Lập phương trình mặt phẳng theo đoạn chắn của mặt phẳng (P), biết (P) đi qua ba điểm A(5; 0; 0), B(0; 3; 0), C(0; 0; 6).
Lời giải:

Bài tập 8: Cho hai mặt phẳng (P1): 4x – y – z + 1 = 0,
(P2): 8x – 2y – 2z + 1 = 0.
a) Chứng minh rằng (P1) // (P2).
b) Tính khoảng cách giữa hai mặt phẳng song song (P1), (P2).
Lời giải:
a) Ta có , lần lượt là hai vectơ pháp tuyến của các mặt phẳng (P1), (P2). Do , D1 ≠ D2 (vì D1 = 1, D2 = 1) nên (P1) // (P2).
b) Chọn điểm M(0; 0; 1) ∈ (P1). Suy ra khoảng cách từ điểm M đến mặt phẳng (P2) là:
.
Do khoảng cách giữa hai mặt phẳng song song (P1), (P2) bằng d(M, (P2)) nên khoảng cách giữa hai mặt phẳng song song (P1), (P2) bằng
Bài tập 9:
a) Cho hai mặt phẳng (P1): x + 2y + 3z + 4 = 0, (P2): x + y – z + 5 = 0. Chứng minh rằng (P1) ⊥ (P2).
b) Cho mặt phẳng (P): x – 2y – 2z + 1 = 0 và điểm M(1; 1; – 6). Tính khoảng cách từ điểm M đến mặt phẳng (P).
Lời giải:

Bài tập 10: Trong không gian với hệ toạ độ Oxyz, cho hình chóp S.OBCD có đáy là hình chữ nhật và các điểm O(0; 0; 0), B(2; 0; 0), D(0; 3; 0), S(0; 0; 4) (Hình 19).

a) Tìm toạ độ điểm C.
b) Lập phương trình mặt phẳng (SBD).
c) Tính khoảng cách từ điểm C đến mặt phẳng (SBD).
Lời giải:

Bài tập 11: Hình 20 minh họa hình ảnh một tòa nhà trong không gian với hệ tọa độ Oxyz (đơn vị trên mỗi trục tọa độ là mét). Biết A(50; 0; 0), D(0; 20; 0), B(4k; 3k; 2k) với k > 0 và mặt phẳng (CBEF) có phương trình là z = 3.

a) Tìm tọa độ của điểm B.
b) Lập phương trình mặt phẳng (AOBC).
c) Lập phương trình mặt phẳng (DOBE).
d) Chỉ ra một vectơ pháp tuyến của mỗi mặt phẳng (AOBC) và (DOBE).
Lời giải:
a) Vì B ∈ (CBEF) nên ta có 2k = 3, suy ra k = (tm). Do đó, 4k = 6; 3k = .
Vậy .
b) Ta có .
Xét vectơ , tức là .
Khi đó, là vectơ pháp tuyến của mặt phẳng (AOBC).
Vậy mặt phẳng (AOBC) có phương trình là:
0(x – 0) – 150(y – 0) + 225(z – 0) = 0 ⇔ 2y – 3z = 0.
c) Ta có .
Xét vectơ , tức là .
Khi đó, là vectơ pháp tuyến của mặt phẳng (DOBE).
Vậy mặt phẳng (DOBE) có phương trình là:
60(x – 0) + 0(y – 0) – 120(z – 0) = 0 ⇔ x – 2z = 0.
d) Một vectơ pháp tuyến của mặt phẳng (AOBC) là .
Một vectơ pháp tuyến của mặt phẳng (DOBE) là
Bài tập 12: Hình 21 minh họa một khu nhà đang xây dựng được gắn hệ trục tọa độ Oxyz (đơn vị trên các trục là mét). Mỗi cột bê tông có dạng hình lăng trụ tứ giác đều và tâm của mặt đáy trên lần lượt là các điểm A(2; 1; 3), B(4; 3; 3), C(6; 3; 2,5), D(4; 0; 2,8).

a) Lập phương trình mặt phẳng (ABC).
b) Bốn điểm A, B, C, D có đồng phẳng hay không?
Lời giải:
