Câu hỏi khởi động: Cầu Bãi Cháy nối Hòn Gai và Bãi Cháy (Quảng Ninh). Dây cáp của cầu gợi nên hình ảnh đường thẳng trong không gian với hệ tọa độ Oxyz (Hình 22).

Trong hệ tọa độ Oxyz, phương trình của đường thẳng là gì? Làm thế nào để lập được phương trình của đường thẳng?
Lời giải:

I. Phương trình đường thẳng
Hoạt động 1: Cho hình hộp ABCD.A'B'C'D' (Hình 23). Giá của vectơ và đường thẳng AC có vị trí tương đối như thế nào?

Lời giải:
- Nhận thấy A’C’ và AC đều là đường chéo của 2 hình chữ nhật mặt đáy của hình hộp, vậy A’C’//AC. Giá của vector A’C’ song song với đường AC
Luyện tập 1: Trong Hình 23, vectơ có là vectơ chỉ phương của đường thẳng BD hay không? Vì sao?

Lời giải:
Do vectơ khác và có giá là đường thẳng B'D' song song với đường thẳng BD nên vectơ là vectơ chỉ phương của đường thẳng BD.
Hoạt động 2: Trong không gian với hệ tọa độ Oxyz, cho đường thẳng ∆ đi qua điểm M0(1; 2; 3) và có vectơ chỉ phương . Xét điểm M(x; y; z) nằm trên ∆ (Hình 24).

a) Nêu nhận xét về phương của hai vectơ và .
b) Có hay không số thực t sao cho ?
c) Hãy biểu diễn x, y, z qua t.
d) Tọa độ (x; y; z) của điểm M (nằm trên ∆) có thỏa mãn hệ phương trình:
hay không?
Lời giải:


Luyện tập 2: Viết phương trình tham số của đường thẳng ∆, biết ∆ đi qua điểm C(1; 2; – 4) và vuông góc với mặt phẳng (P):
3x – y + 2z – 1 = 0.
Lời giải:

Hoạt động 3: Cho đường thẳng ∆ có phương trình tham số:
(t là tham số).
Tọa độ (x; y; z) của điểm M (nằm trên ∆) có thỏa mãn hệ phương trình
hay không?
Lời giải:
Vì M(x; y; z) ∈ ∆ nên .
Khi đó ,,.
Suy ra .
Vậy tọa độ (x; y; z) của điểm M (nằm trên ∆) thỏa mãn hệ phương trình
Luyện tập 3: Viết phương trình chính tắc của đường thẳng ∆, biết phương trình tham số của ∆ là: (t là tham số).
Lời giải:

Hoạt động 4: Trong không gian với hệ tọa độ Oxyz, cho điểm A(1; 2; 3) và B(3; 5; 9).
a) Hãy chỉ ra một vectơ chỉ phương của đường thẳng AB.
b) Viết phương trình tham số của đường thẳng AB.
c) Viết phương trình chính tắc của đường thẳng AB.
Lời giải:

Luyện tập 4: Viết phương trình chính tắc của đường thẳng OM, biết M(a; b; c) với abc ≠ 0.
Lời giải:
Phương trình chính tắc của đường thẳng OM là:
II. Vị trí tương đối của hai đường thẳng
Hoạt động 5: Cho hai đường thẳng phân biệt ∆1, ∆2 lần lượt đi qua các điểm M1, M2 và tương ứng có vectơ chỉ phương là
a) Giả sử ∆1 song song với ∆2 (Hình 25). Các cặp vectơ sau có cùng phương hay không: và ; và ?

b) Giả sử ∆1 và ∆2 cắt nhau (Hình 26). Hai vectơ và có cùng phương hay không? Ba vectơ , và có đồng phẳng hay không?

c) Giả sử ∆1 và ∆2 chéo nhau (Hình 27). Hai vectơ và có cùng phương hay không? Ba vectơ , và có đồng phẳng hay không?

Lời giải:

Luyện tập 5: Bằng cách giải hệ phương trình, xác định vị trí tương đối của hai đường thẳng và (t1, t2 là tham số).
Lời giải:

III. Góc
Hoạt động 6: Cho hai đường thẳng ∆1, ∆2 trong không gian có vectơ chỉ phương lần lượt là . Giả sử ∆'1, ∆'2 là hai đường thẳng cùng đi qua điểm I và lần lượt song song (hoặc trùng) với ∆1, ∆2 (Hình 28).

a) Nếu mối liên hệ giữa hai góc (∆1, ∆2) và (∆'1, ∆'2).
b) Gọi A và B là các điểm lần lượt thuộc hai đường thẳng ∆'1 và ∆'2 sao cho , . So sánh:
.
c) So sánh cos (∆1, ∆2) và
Lời giải:
a) Ta có (∆1, ∆2) = (∆'1, ∆'2).
b) Ta có .
Mà , nên .
Vậy .
c) Ta có cos (∆1, ∆2) =
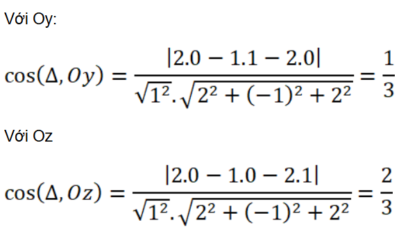
Luyện tập 6: Cho đường thẳng . Tính côsin của góc giữa đường thẳng ∆ và các trục tọa độ.
Lời giải:


Hoạt động 7: Cho mặt phẳng (P) có vectơ pháp tuyến là , đường thẳng ∆ có vectơ chỉ phương là và đường thẳng ∆ cắt mặt phẳng (P) tại I. Gọi ∆' là hình chiếu của ∆ trên mặt phẳng (P) (Hình 29)

a) Hãy xác định góc giữa đường thẳng ∆ và mặt phẳng (P).
Ta kí hiệu góc đó là (∆, (P)).
b) So sánh sin (∆, (P)) và
Lời giải:
a) Vì ∆' là hình chiếu của ∆ trên mặt phẳng (P) nên góc giữa đường thẳng ∆ và mặt phẳng (P) bằng góc giữa đường thẳng ∆ và đường thẳng ∆'. Ta có (∆, (P)) = (∆, ∆').
b) Ta có sin (∆, (P)) = sin (∆, ∆') =
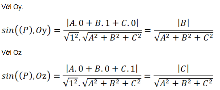
Luyện tập 7: Cho mặt phẳng (P) có vectơ pháp tuyến . Tính sin của góc giữa mặt phẳng (P) và các trục tọa độ.
Lời giải:


Hoạt động 8: Cho hai mặt phẳng (P1) và (P2). Lấy hai đường thẳng ∆1, ∆2 sao cho ∆1 ⊥ (P1), ∆2 ⊥ (P2) (Hình 31).

a) Nêu cách xác định góc giữa hai đường thẳng ∆1, ∆2.
b) Góc đó có phụ thuộc vào việc chọn hai đường thẳng ∆1, ∆2 như trên hay không?
Lời giải:

Luyện tập 8: Trong Ví dụ 10, tính góc giữa hai mặt phẳng (BCC'B') và (CDA'B').
Lời giải:

Hoạt động 9: Cho hai mặt phẳng (P1) và (P2). Gọi lần lượt là hai vectơ pháp tuyến của (P1), (P2); ∆1, ∆2 lần lượt là giá của hai vectơ (Hình 33). So sánh:
a) cos ((P1), (P2)) và cos (∆1, ∆2);
b) cos (∆1, ∆2) và .

Lời giải:
a) Vì ∆1, ∆2 lần lượt là giá của hai vectơ lần lượt là hai vectơ pháp tuyến của (P1), (P2) nên ∆1 ⊥ (P1) và ∆2 ⊥ (P2).
Khi đó, ((P1), (P2)) = (∆1, ∆2). Suy ra cos ((P1), (P2)) = cos (∆1, ∆2).
b) Vì ∆1, ∆2 lần lượt là giá của hai vectơ nên hai vectơ lần lượt là vectơ chỉ phương của các đường thẳng ∆1, ∆2. Do đó cos (∆1, ∆2) =
Luyện tập 9: Cho mặt phẳng (P) có vectơ pháp tuyến . Tính côsin của góc giữa mặt phẳng (P) và các mặt phẳng tọa độ.
Lời giải:


Bài tập
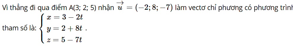
Bài tập 1: Đường thẳng đi qua điểm A(3; 2; 5) nhận làm vectơ chỉ phương có phương trình tham số là:

Đáp án: D

Bài tập 2: Đường thẳng đi qua điểm B(– 1; 3; 6) nhận làm vectơ chỉ phương có phương trình chính tắc là:

Đáp án: B
Đường thẳng đi qua điểm B(– 1; 3; 6) nhận làm vectơ chỉ phương có phương trình chính tắc là:
Bài tập 3: Mặt phẳng (P): x – 2 = 0 vuông góc với mặt phẳng nào sau đây?
A. (P1): x + 2 = 0.
B. (P2): x + y – 2 = 0.
C. (P3): z – 2 = 0.
D. (P4): x + z – 2 = 0.
Đáp án: C

Bài tập 4: Cho đường thẳng ∆ có phương trình tham số (t là tham số).
a) Chỉ ra tọa độ hai điểm thuộc đường thẳng ∆.
b) Điểm nào trong hai điểm C(6; – 7; – 16), D(– 3; 11; – 11) thuộc đường thẳng ∆?
Lời giải:
a) Với t = 0 ta có . Suy ra A(1; 3; – 1) ∈ ∆.
Với t = 1 ta có . Suy ra B(0; 5; 2) ∈ ∆.
b) Thay tọa độ điểm C(6; – 7; – 16) vào phương trình đường thẳng ∆ ta được:
. Do đó, C ∈ ∆.
Thay tọa độ điểm D(– 3; 11; – 11) vào phương trình đường thẳng ∆ ta được:
(vô lí). Do đó, D ∉ ∆.
Vậy trong hai điểm C và D, chỉ có điểm C thuộc đường thẳng ∆.
Bài tập 5: Viết phương trình tham số và phương trình chính tắc của đường thẳng ∆ trong mỗi trường hợp sau:
a) ∆ đi qua điểm A(– 1; 3; 2) và có vectơ chỉ phương ;
b) ∆ đi qua điểm M(2; – 1; 3) và N(3; 0; 4).
Lời giải:

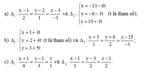
Bài tập 6: Xác định vị trí tương đối của hai đường thẳng ∆1, ∆2 trong mỗi trường hợp sau:

Lời giải:
a) Đường thẳng ∆1 đi qua điểm M1(1; 2; 3) và có là vectơ chỉ phương.
Đường thẳng ∆2 đi qua điểm M2(– 11; – 6; 10) và có là vectơ chỉ phương.
Ta có, suy ra , cùng phương;
và nên không cùng phương.
Vậy ∆1 // ∆2.
b) Đường thẳng ∆1 đi qua điểm M1(1; 2; 3) và có là vectơ chỉ phương.
Đường thẳng ∆2 đi qua điểm M2(– 3; – 6; 15) và có là vectơ chỉ phương.
Ta có:, suy ra , không cùng phương;
, .
Do (– 22) ∙ (– 4) + 14 ∙ (– 8) + 2 ∙ 12 = 0 nên đồng phẳng.
Vậy ∆1 cắt ∆2.
c) Đường thẳng ∆1 đi qua điểm M1(– 1; 1; 0) và có là vectơ chỉ phương.
Đường thẳng ∆2 đi qua điểm M2(1; 3; 1) và có là vectơ chỉ phương.
Ta có: ,.
Do 4 ∙ 2 + (– 7) ∙ 2 + 5 ∙ 1 = – 1 ≠ 0 nên không đồng phẳng.
Vậy ∆1 và ∆2 chéo nhau.
Bài tập 7: Tính góc giữa hai đường thẳng ∆1, ∆2 trong mỗi trường hợp sau (làm tròn kết quả đến hàng đơn vị của độ):

Lời giải:
a) Hai đường thẳng ∆1 và ∆2 có vectơ chỉ phương lần lượt là ,.
Ta có: cos (∆1, ∆2) = .
Suy ra (∆1, ∆2) = 30°.
b) Hai đường thẳng ∆1 và ∆2 có vectơ chỉ phương lần lượt là , .
Ta có: cos (∆1, ∆2) = .
Suy ra (∆1, ∆2) ≈ 11°.
c) Hai đường thẳng ∆1 và ∆2 có vectơ chỉ phương lần lượt là và .
Ta có: cos (∆1, ∆2) = .
Suy ra (∆1, ∆2) ≈ 80°.
Bài tập 8: Tính góc giữa đường thẳng ∆ và mặt phẳng (P) trong mỗi trường hợp sau (làm tròn kết quả đến hàng đơn vị của độ):
a) (t là tham số) và (P):x + z – 2 = 0;
b) (t là tham số) và (P): x + y + z – 4 = 0.
Lời giải:

Bài tập 9: Tính góc giữa hai mặt phẳng
(P1): x + y + 2z – 1 = 0 và (P2): 2x – y + z – 2 = 0.
Lời giải:
Do (P1), (P2) có hai vectơ pháp tuyến lần lượt là , nên
cos ((P1), (P2)) = .
Suy ra ((P1), (P2)) = 60°.
Bài tập 10: Trong không gian với hệ trục tọa độ Oxyz, cho hình chóp S.ABCD có các đỉnh lần lượt là với a > 0 (Hình 36).

a) Xác định tọa độ của các vectơ . Từ đó tính góc giữa hai đường thẳng SA và CD (làm tròn kết quả đến hàng đơn vị của độ).
b) Chỉ ra một vectơ pháp tuyến của mặt phẳng (SAC). Từ đó tính góc giữa đường thẳng SD và mặt phẳng (SAC) (làm tròn kết quả đến hàng đơn vị của độ).
Lời giải:
a) Ta có: .
Các vectơ lần lượt là vectơ chỉ phương của hai đường thẳng SA và CD nên
cos (SA, CD) = (do a > 0).
Suy ra (SA, CD) = 60°.
b) Ta có .
Xét vectơ .
Khi đó, là một vectơ pháp tuyến của mặt phẳng (SAC).
Đường thẳng SD có vectơ chỉ phương là .
Ta có sin (SD, (SAC)) =
.
Suy ra (SD, (SAC)) ≈ 28°.
Bài tập 11 : Trong không gian với hệ tọa độ Oxyz (đơn vị trên mỗi trục tọa độ là kilômét), một máy bay đang ở vị trí A(3,5; – 2; 0,4) và sẽ hạ cánh ở vị trí B(3,5; 5,5; 0) trên đường băng EG (Hình 37).

a) Viết phương trình đường thẳng AB.
b) Hãy cho biết góc trượt (góc giữa đường bay AB và mặt phẳng nằm ngang (Oxy)) có nằm trong phạm vi cho phép từ 2,5° đến 3,5° hay không.
c) Có một lớp mây được mô phỏng bởi một mặt phẳng (α) đi qua ba điểm M(5; 0; 0), N(0; – 5; 0), P(0; 0; 0,5). Tìm tọa độ của điểm C là vị trí mà máy bay xuyên qua đám mây để hạ cánh.
d) Tìm tọa độ của điểm D trên đoạn thẳng AB là vị trí mà máy bay ở độ cao 120 m.
e) Theo quy định an toàn bay, người phi công phải nhìn thấy điểm đầu E(3,5; 4,5; 0) của đường băng ở độ cao tối thiểu là 120 m. Hỏi sau khi ra khỏi đám mây, người phi công có đạt được quy định an toàn đó hay không? Biết rằng tầm nhìn của người phi công sau khi ra khỏi đám mây là 900 m (Nguồn: R.Larson and B.Edwards, Calculus 10e, Cengage, 2014).
Lời giải:


