Bài tập 1: Cho hàm số f(x) = 2x + ex. Nguyên hàm F(x) của hàm số f(x) trên ℝ sao cho F(0) = 2 023 là:
A. x2 + ex + 2 023.
B. x2 + ex + C.
C. x2 + ex + 2 022.
D. x2 + ex.
Đáp án: C
Ta có .
Suy ra F(x) = x2 + ex + C.
Mà F(0) = 2 023 nên 02 + e0 + C = 2 023, suy ra C = 2 022.
Vậy F(x) = x2 + ex + 2 022.
Bài tập 2: Biết F(x) = x3 là một nguyên hàm của hàm số f(x) trên ℝ. Giá trị của bằng:
A. .
B. 7.
C. 9.
D. .
Đáp án: C
Ta có f(x) = F'(x) = (x3)' = 3x2.
Khi đó = (2 ∙ 2 + 23) – (2 ∙ 1 + 13) = 9.
Bài tập 3: Biết . Khi đó, bằng:
A. 1.
B. 4.
C. 2.
D. 0.
Đáp án: A
Ta có .
Lại có . Mà .
Do đó, . Suy ra
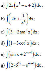
Bài tập 4: Tìm:

Lời giải:

Bài tập 5:
a) Cho hàm số f(x) = x2 + e– x. Tìm nguyên hàm F(x) của hàm số f(x) trên ℝ sao cho F(0) = 2 023.
b) Cho hàm số (x > 0). Tìm nguyên hàm G(x) của hàm số g(x) trên khoảng (0; + ∞) sao cho G(1) = 2 023.
Lời giải:

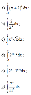
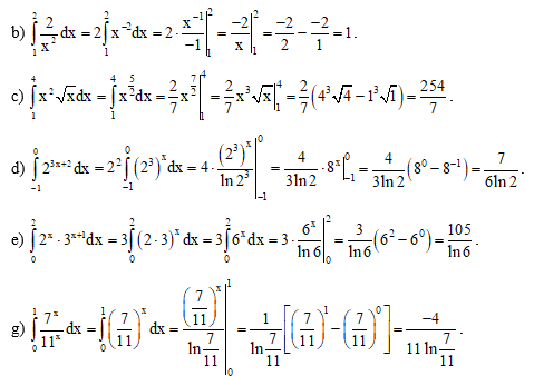
Bài tập 6: Tính:

Lời giải:


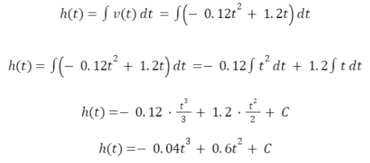
Bài tập 7: Một khinh khí cầu bay với độ cao (so với mực nước biển) tại thời điểm t là h(t), trong đó t tính bằng phút, h(t) tính bằng mét. Tốc độ bay của khinh khí cầu được cho bởi hàm số
v(t) = – 0,12t2 + 1,2t,
với t tính bằng phút, v(t) tính bằng mét/phút. Tại thời điểm xuất phát (t = 0), khinh khí cầu ở độ cao 520 m và 5 phút sau khi xuất phát, khinh khí cầu đã ở độ cao 530 m.
(Nguồn: A. Bigalke et al., Mathematik, Grundkurs ma-1, Cornelsen 2016)
a) Viết công thức xác định hàm số h(t) (0 ≤ t ≤ 29).
b) Độ cao tối đa của khinh khí cầu khi bay là bao nhiêu?
c) Khi nào khinh khí cầu sẽ trở lại độ cao khi xuất phát?
Lời giải:
a)
Hàm độ cao h(t) là một nguyên hàm của hàm v(t):
Ta có tại thời điểm xuất phát (t=0) khinh khí cầu ở độ cao 520 m, vậy h(0)=520:

Do đó hàm h(t) là:

Tại t=5, ta có:


h(5) bằng 130, thỏa mãn điều kiện đề bài. Vậy ta có hàm h(t):

b) Để tìm độ cao tối đa, chúng ta tìm đạo hàm h’(t) và tìm điểm làm cho h’(t)=0:

h’(t)=0:


t =0 hoặc t = 10
Ta kiểm tra giá trị h tại t=10:

Vậy độ cao tối đa là 540 mét.
c)
Để tìm thời điểm khinh khí cầu trở lại độ cao xuất phát, ta cần tìm t khi h(t)=520:

t = 0 hoặc t=15. Mà t=0 là thời điểm xuất phát. Vậy khinh khí cầu sẽ trở lại độ cao ban đầu sau 15 phút.
Bài tập 8: Một công trình xây dựng dự kiến hoàn thành trong 100 ngày. Số lượng công nhân được sử dụng tại thời điểm t cho bởi hàm số
m(t) = 500 + 50 – 10t,
trong đó t tính theo ngày (0 ≤ t ≤ 100), m(t) tính theo người.
(Nguồn: A. Bigalke et al., Mathematik, Grundkurs ma-1, Cornelsen 2016)
a) Khi nào có 360 công nhân được sử dụng?
b) Khi nào số công nhân được sử dụng lớn nhất?
c) Gọi M(t) là số ngày công được tính đến hết ngày thứ t (kể từ khi khởi công công trình). Trong kinh tế xây dựng, người ta đã biết rằng M'(t) = m(t). Tổng cộng cần bao nhiêu ngày công để hoàn thành công trình xây dựng đó?
Lời giải:
a) Có 360 công nhân được sử dụng khi m(t) = 360, tức là
500 + 50 – 10t = 360 ⇔ 10t – 50 – 140 = 0 ⇒ = 7 ⇒ t = 49 ∈ [0; 100].
Vậy đến ngày thứ 49, có 360 công nhân được sử dụng.
b) Số công nhân được sử dụng lớn nhất chính là giá trị lớn nhất của hàm số m(t) trên đoạn [0; 100].
Ta có m'(t) = .
Trên khoảng (0; 100), m'(t) = 0 khi t = 6,25.
m(0) = 500; m(6,25) = 562,5; m(100) = 0.
Suy ra > khi t = 6,25.
Vậy đến ngày thứ 6 thì số lượng công nhân được sử dụng lớn nhất.
c) Số ngày công để hoàn thành công trình xây dựng đó là:
(ngày công).
Bài tập 9: Trong bài này, ta xét một tình huống giả định có một học sinh sau kì nghỉ đã mang virus cúm quay trở lại khuôn viên trường học biệt lập. Sau khi có sự tiếp xúc giữa các học sinh, virus cúm lây lan trong khuôn viên trường. Giả thiết hệ thống chống dịch chưa được khởi động và virus cúm được lây lan tự nhiên. Gọi P(t) là số học sinh bị nhiễm virus cúm ở ngày thứ t tính từ ngày học sinh mang virus cúm quay trở lại khuôn viên trường. Biết rằng tốc độ lây lan của virus cúm cho bởi công thức P'(t) = – 0,02Ce– 0,02t, trong đó C là hằng số khác 0. Số học sinh bị nhiễm virus cúm sau 4 ngày là 55 học sinh. Xác định số học sinh bị nhiễm virus cúm sau 10 ngày.
Lời giải:

Bài tập 10: Một chiếc xe ô tô chạy thử nghiệm trên một đường thẳng bắt đầu từ trạng thái đứng yên. Tốc độ của chiếc xe ô tô đó (tính bằng mét/giây) lần lượt ở giây thứ 10, thứ 20, thứ 30, thứ 40, thứ 50 và thứ 60 được ghi lại trong Bảng 1.

a) Hãy xây dựng hàm số bậc ba y = f(x) = ax3 + bx2 + cx + d (a ≠ 0) để biểu diễn các số liệu ở Bảng 1, tức là ở hệ trục toạ độ Oxy, đồ thị của hàm số đó trên nửa khoảng [0; +∞) “gần” với các điểm O(0; 0), B(10; 5), C(20; 21), D(30; 40), E(40; 62), G(50; 78), K(60;83) (Nguồn: R. Larson and B. Edwards, Calculus 106, Cengage 2014).
b) Hãy tính (gần đúng) quãng đường mà xe ô tô đó đã đi được tính đến giây thứ 60 của quá trình thử nghiệm.
Lời giải:
a) Hàm số bậc ba y = f(x) = ax3 + bx2 + cx + d (a ≠ 0) đi qua các điểm O(0; 0), B(10; 5), C(20; 21), D(30; 40) nên ta có hệ phương trình sau:

Vậy y = f(x) = (x ∈ [0; +∞)).
b) Gọi v(t) là tốc độ của chiếc xe ô tô đó với t tính bằng giây và v(t) tính bằng mét/giây.
Khi đó ta có .
Vậy quãng đường mà xe ô tô đó đã đi được tính đến giây thứ 60 của quá trình thử nghiệm là:
(m)
Bài tập 11: Giả sử A, B lần lượt là diện tích các hình được tô màu ở Hình 37.

a) Tính các diện tích A, B.
b) Biết B = 3A. Biểu diễn b theo a.
Lời giải:
a) Diện tích A, B được tính như sau:

Bài tập 12: Hình 38 minh họa mặt cắt đứng của một bức tường cũ có dạng hình chữ nhật với một cổng ra vào có dạng hình parabol với các kích thước được cho như trong hình đó. Người ta dự định sơn lại mặt ngoài của bức tường đó. Chi phí để sơn bức tường là 15 000 đồng/1 m2. Tổng chi phí để sơn lại toàn bộ mặt ngoài của bức tường đó sẽ là bao nhiêu?

Lời giải:

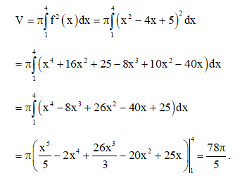
Bài tập 13: Cho khối tròn xoay như Hình 39.

a) Hình phẳng được giới hạn bởi các đường nào để khi quay quanh trục Ox ta được khối tròn xoay như Hình 39?
b) Tính thể tích khối tròn xoay đó.
Lời giải:
a) Hình phẳng được giới hạn bởi đồ thị hàm số f(x) = x2 – 4x + 5, trục Ox và hai đường thẳng x = 1, x = 4; quay hình phẳng này quanh trục Ox ta được khối tròn xoay như Hình 39.
b) Thể tích khối tròn xoay đó là:
