A. Trắc nghiệm
Bài 4.20: Một nguyên hàm của hàm số f(x) = sin2x là:
A. F(x) = 2cos2x.
B. F(x) = −cos2x.
C.
D.
Đáp án đúng: D
Vì nên là một nguyên hàm của hàm số f(x) = sin2x.
Bài 4.21: Họ tất cả các nguyên hàm của hàm số 2ex là
A. 2xex + C.
B. −2ex + C.
C. 2ex.
D. 2ex + C.
Đáp án đúng: D

Bài 4.22: Nguyên hàm F(x) của hàm số f(x) = ex – 3e−x thỏa mãn F(0) = 4 là
A. F(x) = ex – 3e−x.
B. F(x) = ex + 3e−2x.
C. F(x) = ex + 3e−x.
D. F(x) = ex + 3e−x + 4.
Đáp án đúng: C
Ta có
Vì F(0) = 4 nên e0 + 3e−0 + C = 4 Þ C = 0.
Vậy F(x) = ex + 3e−x.
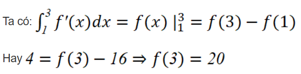
Bài 4.23: Cho hàm số f(x) có đạo hàm f'(x) liên tục trên ℝ, f(1) = 16 và . Khi đó giá trị của f(3) bằng
A. 20.
B. 16.
C. 12.
D. 10.
Đáp án đúng: A

Bài 4.24: Diện tích hình phẳng giới hạn bởi đồ thị hàm số y = x2 – 2x, y = −x2 + 4x và hai đường thẳng x = 0, x = 3 là
A. −9.
B. 9.
C.
D.
Đáp án đúng: B
Diện tích cần tìm là:
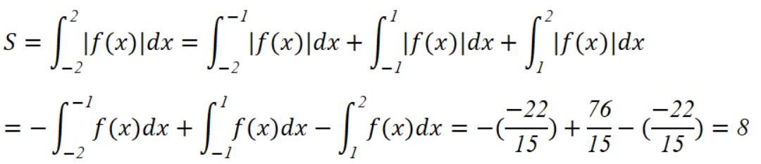
Bài 4.25: Cho đồ thị hàm số y = f(x) trên đoạn [−2;2] như Hình 4.32.

Biết và . Khi đó, diện tích của hình phẳng được tô màu là
A. 8.
B.
C.
D.
Đáp án đúng: A
Diện tích hình phẳng được tô màu là:

Bài 4.26: Cho hình phẳng (S) giới hạn bởi đồ thị hàm số , trục hoành và hai đường thẳng x = −1, x = 1. Thể tích của khối tròn xoay khi quay (S) quanh trục Ox là
A.
B.
C.
D.
Đáp án đúng: D
Thể tích cần tìm là:
Bài 4.27: Một vật chuyển động có gia tốc là a(t) = 3t2 + t (m/s2). Biết rằng vận tốc ban đầu của vật là 2 m/s. Vận tốc của vật đó sau 2 giây là
A. 8 m/s.
B. 10 m/s.
C. 12 m/s.
D. 16 m/s.
Đáp án đúng: C
Có
Vì v(0) = 2 nên C = 2.
Do đó
Vậy (m/s).
B. Tự luận
Bài 4.28: Tìm họ tất cả các nguyên hàm của các hàm số sau:
a)
b)
Lời giải:

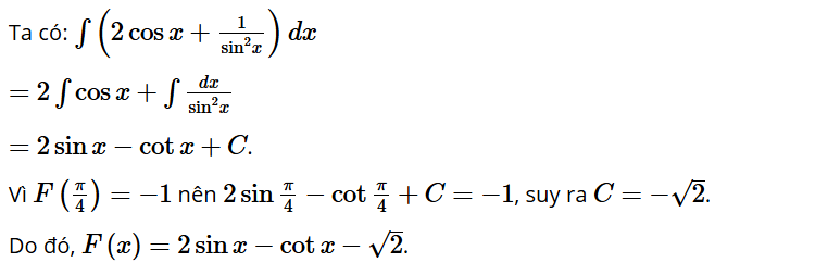
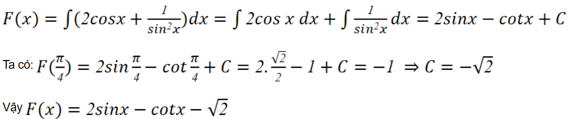
Bài 4.29: Tìm một nguyên hàm F(x) của hàm số thỏa mãn điều kiện .
Lời giải:

Bài 4.30: Một viên đạn được bắn lên từ mặt đất theo phương thẳng đứng với vận tốc ban đầu là 30 m/s. Gia tốc trọng trường là 9,8 m/s2. Tìm vận tốc của viên đạn ở thời điểm 2 giây.
Lời giải:
Chọn chiều dương là chiều hướng từ mặt đất lên.
Ta có a = −9,8 m/s2. Do đó v(t) = −9,8t + C.
Vì v(0) = 30 nên C = 30. Do đó v(t) = −9,8t + 30.
Vận tốc của viên đạn ở thời điểm 2 giây là: v(2) = −9,8.2 + 30 = 10,4 m/s.
Bài 4.31: Cá hồi Thái Bình Dương đến mùa sinh sản thường bơi từ biển ngược dòng vào sông và đến thượng nguồn các dòng sông để đẻ trứng. Giả sử cá bơi ngược dòng sông với vận tốc là (km/h). Nếu coi thời điểm ban đầu t = 0 là lúc cá bắt đầu bơi vào dòng sông thì khoảng cách xa nhất mà con cá có thể bơi được là bao nhiêu?
Lời giải:

Bài 4.32: Tính các tích phân sau:
a)
b)
c)
d)
Lời giải:

Bài 4.33: Tính diện tích hình phẳng giới hạn bởi các đường y = ex, y = x, x = 0 và x = 1.
Lời giải:

Diện tích cần tính là:
Bài 4.34: Tính thể tích của khối tròn xoay tạo thành khi quay hình phẳng giới hạn bởi các đường sau xung quanh trục Ox:
a) y = 1 – x2, y = 0, x = −1, x = 1;
b)
Lời giải:

Bài 4.35: Nghệ thuật làm gốm có lịch sử phát triển lâu đời và vẫn còn tồn tại cho đến ngày nay. Giả sử một bình gốm có mặt trong của bình là một mặt tròn xoay sinh ra khi cho phần đồ thị của hàm số (x, y tính theo cm) quay tròn quanh bệ gốm có trục trùng với trục Ox. Hỏi để hoàn thành bình gốm đó ta cần sử dụng bao nhiêu cm3 đất sét, biết rằng bình gốm đó có độ dày không đổi là 1 cm.
Lời giải:
Thể tích đất sét cần sử dụng là:
(cm3).
Vậy để hoàn thành bình gốm đó ta cần sử dụng 167,2π cm3 đất sét.