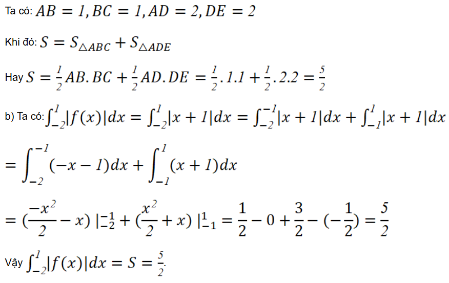
1. Ứng dụng tích phân để tính diện tích hình phẳng
Hoạt động 1: Xét hình phẳng giới hạn bởi đường thẳng y = f(x) = x + 1, trục hoành và hai đường thẳng x = −2; x = 1 (H.4.12).
a) Tính diện tích S của hình phẳng này.
b) Tính và so sánh với S.

Lời giải:
a) Xác định các điểm như hình dưới:


Luyện tập 1: Tính diện tích hình phẳng giới hạn bởi parabol y = x2 – 4, trục hoành và hai đường thẳng x = 0; x = 3 (H.4.15).

Lời giải:
Diện tích hình phẳng cần tính là:
Hoạt động 2: Gọi S là diện tích hình phẳng giới hạn bởi đồ thị của các hàm số f(x) = −x2 + 4x, g(x) = x và hai đường thẳng x = 1, x = 3 (H.4.16).
a) Giả sử S1 là diện tích hình phẳng giới hạn bởi parabol y = −x2 + 4x, trục hoành và hai đường thẳng x = 1, x = 3; S2 là diện tích hình phẳng giới hạn bởi đường thẳng y = x, trục hoành và hai đường thẳng x = 1, x = 3. Tính S1, S2 và từ đó suy ra S.
b) Tính và so sánh với S.

Lời giải:

Luyện tập 2: Tính diện tích hình phẳng giới hạn bởi đồ thị của các hàm số , y = x – 2 và hai đường thẳng x = 1, x = 4.
Lời giải:

Diện tích hình phẳng cần tính là:
Vận dụng 1: Ta biết rằng hàm cầu liên quan đến giá p của một sản phẩm với nhu cầu của người tiêu dùng, hàm cung liên quan đến giá p của sản phẩm với mức độ sẵn sàng cung cấp sản phẩm của nhà sản xuất. Điểm cắt nhau (x0; p0) của đồ thị hàm cầu p = D(x) và đồ thị hàm cung p = S(x) được gọi là điểm cân bằng.
Các nhà kinh tế gọi diện tích của hình giới hạn bởi đồ thị hàm cầu, đường ngang p = p0 và đường thẳng đứng x = 0 là thặng dư tiêu dùng. Tương tự, diện tích của hình giới hạn bởi đồ thị của hàm cung, đường nằm ngang p = p0 và đường thẳng đứng x = 0 được gọi là thặng dư sản xuất, như trong Hình 4.19.
(Theo R.Larson, Brief Calculus: An Applied Approach, 8th edition, Cengage Learning, 2009).
Giả sử hàm cung và hàm cầu của một loại sản phẩm được mô hình hóa bởi:
Hàm cầu: p = −0,36x + 9 và hàm cung: p = 0,14x + 2, trong đó x là số đơn vị sản phẩm. Tìm thặng dư tiêu dùng và thặng dư sản xuất cho sản phẩm này.

Lời giải:

2. Ứng dụng tích phân để tính thể tích vật thể
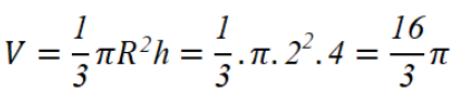
Hoạt động 3: Xét hình trụ có bán kính đáy R, có trục là trục hoành Ox, nằm giữa hai mặt phẳng x = a và x = b (a < b) (H.4.20).
a) Tính thể tích V của hình trụ.
b) Tính diện tích mặt cắt S(x) khi cắt hình trụ bởi mặt phẳng vuông góc với trục Ox tại điểm có hoành độ là x (a ≤ x ≤ b). Từ đó tính và so sánh với V.

Lời giải:

Vận dụng 2: Tính thể tích của khối chóp cụt đều có diện tích hai đáy là S0, S1 và chiều cao bằng h (H.4.24). Từ đó suy ra công thức tính thể tích khối chóp đều có diện tích đáy bằng S và chiều cao bằng h.

Lời giải:
Chọn hệ trục tọa độ Oxyz như hình vẽ.
Gọi a, b lần lượt là khoảng cách từ O đến đáy nhỏ và đáy lớn của hình chóp. Khi đó chiều cao của hình chóp cụt là h = b – a.
Thiết diện của khối chóp cụt khi cắt bởi mặt phẳng vuông góc với trục Ox tại điểm có hoành độ là x (a ≤ x ≤ b) là một đa giác đều đồng dạng với đáy lớn của hình chóp cụt theo tỉ số đồng dạng là
Khi đó
Do đó thể tích khối chóp cụt đều là:
Vì ;
Do đó
Khối chóp đều được coi là khối chóp cụt đều khi S0 = 0.
Do đó thể tích khối chóp đều là
Hoạt động 4: Xét hình phẳng giới hạn bởi đồ thị hàm số , trục hoành và hai đường thẳng x = 0, x = 4. Khi quay hình phẳng này xung quanh trục hoành Ox ta được khối nón có đỉnh là gốc O, trục là Ox và đáy là hình tròn bán kính bằng 2 (H.4.25).
a) Tính thể tích V của khối nón.
b) Chứng minh rằng khi cắt khối nón bởi mặt phẳng vuông góc với trục hoành tại điểm có hoành độ bằng x (0 ≤ x ≤ 4) thì mặt cắt thu được là một hình tròn có bán kính là f(x), do đó diện tích mặt cắt là S(x) = πf2(x). Tính và so sánh với V.

Lời giải:
a) Khối nón có chiều cao bằng 4 và bán kính đáy bằng 2 nên có thể tích là:

b)


Vận dụng 3:
a) Tính thể tích của khối tròn xoay sinh ra khi quay hình thang vuông OABC trong mặt phẳng Oxy với OA = h, AB = R và OC = r, quanh trục Ox (H.4.28).
b) Từ công thức thu được ở phần a, hãy rút ra công thức tính thể tích của khối nón có bán kính đáy bằng R và chiều cao h.

Lời giải:
a) Chọn hệ trục như hình vẽ.
Khi đó ta có C(0; r), B(h; R). Suy ra
Phương trình đường thẳng BC qua C và nhận có dạng:
(r – R)x + h(y − r) = 0 hay
Thể tích cần tính là:
b) Khi r = 0 thì khối nón cụt trở thành khối nón có chiều cao h, bán kính đáy là R.
Do đó
Bài tập
Bài 4.14: Tính diện tích của hình phẳng được tô màu trong Hình 4.29.

Lời giải:
Diện tích cần tính là:
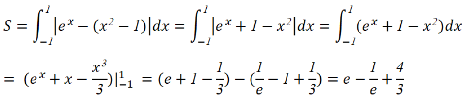
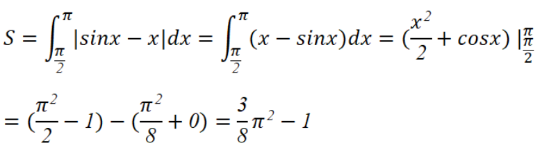
Bài 4.15: Tính diện tích của hình phẳng giới hạn bởi các đường:
a) y = ex, y = x2 – 1, x = −1, x = 1;
b) y = sinx, y = x, ;
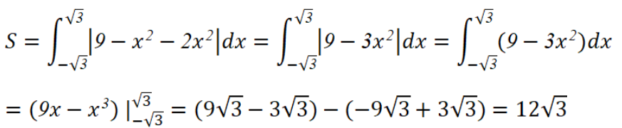
c) y = 9 – x2, y = 2x2, ;
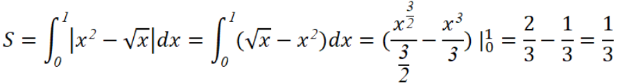
d) y = x2, x = 0, x = 1.
Lời giải:
a) Diện tích hình phẳng cần tìm là:

b) Diện tích hình phẳng cần tìm là:

c) Diện tích hình phẳng cần tìm là:

d) Diện tích hình phẳng cần tìm là:

Bài 4.16: Các nhà kinh tế sử dụng đường cong Lorenz để minh họa sự phân phối thu nhập trong một quốc gia. Gọi x là đại diện cho phần trăm số gia đình trong một quốc gia và y là phần trăm tổng thu nhập, mô hình y = x sẽ đại diện cho một quốc gia mà các gia đình có thu nhập như nhau. Đường cong Lorenz y = f(x), biểu thị phân phối thu nhập thực tế. Diện tích giữa hai mô hình này, với 0 ≤ x ≤ 100, biểu thị “sự bất bình đẳng về thu nhập” của một quốc gia. Năm 2005, đường con Lorenz của Hoa Kỳ có thể được mô hình hóa bởi hàm số
y = (0,00061x2 + 0,0218x + 1723)2, 0 ≤ x ≤ 100,
trong đó x được tính từ các gia đình nghèo nhất đến giàu có nhất (Theo R.Larson, Brief Calculus: An Applied Approach, 8th edition, Cengage Learning, 2009).
Tìm sự bất bình đẳng thu nhập của Hoa Kỳ vào năm 2005.
Lời giải:

Bài 4.17: Tính thể tích của khối tròn xoay sinh ra khi quay hình phẳng giới hạn bởi các đường sau xung quanh trục Ox: y = 2x – x2, y = 0, x = 0, x = 2.
Lời giải:
Thể tích cần tìm là:
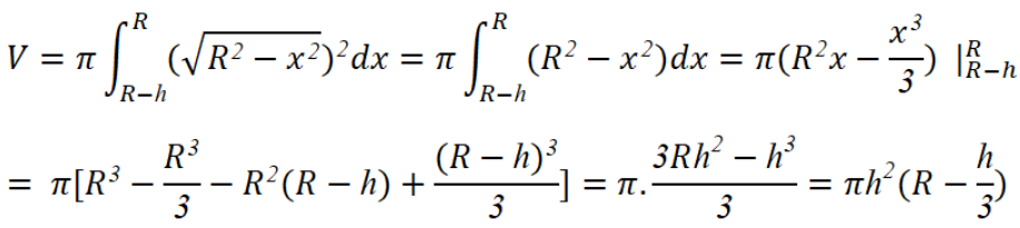
Bài 4.18: Khối chỏm cầu có bán kính R và chiều cao h (0 < h ≤ R) sinh ra khi quay hình phẳng giới hạn bởi cung tròn có phương trình , trục hoành và hai đường thẳng x = R – h, x = R xung quanh trục Ox (H.4.30). Tính thể tích của khối chỏm cầu này.

Lời giải:
Thể tích của khối chỏm cầu này là:

Bài 4.19: Cho tam giác vuông OAB có cạnh OA = a nằm trên trục Ox và . Gọi β là khối tròn xoay sinh ra khi quay miền tam giác OAB xung quanh trục Ox (H.4.31).
a) Tính thể tích V của β theo a và α.
b) Tìm α sao cho thể tích V lớn nhất
Lời giải:
