Mở đầu: Một ô tô đang chạy với vận tốc 20 m/s thì người lái đạp phanh. Sau khi đạp phanh, ô tô chuyển động chậm dần đều với vận tốc v(t) = −40t + 20 (m/s), trong đó t là thời gian tính bằng giây kể từ lúc đạp phanh. Hỏi từ lúc đạp phanh đến khi dừng hẳn, ô tô còn di chuyển bao nhiêu mét?
Lời giải:

1. Khái niệm tích phân
Hoạt động 1: Kí hiệu T là hình thang vuông giới hạn bởi đường thẳng y = x + 1, trục hoành và hai đường thẳng x = 1, x = t (1 ≤ t ≤ 4) (H.4.4)
a) Tính diện tích S của T khi t = 4.
b) Tính diện tích S(t) của T khi t ∈ [1; 4].
c) Chứng minh rằng S(t) là một nguyên hàm của hàm số f(t) = t + 1, t ∈ [1; 4] và diện tích S = S(4) – S(1).

Lời giải:
a)

Kí hiệu A(1; 0), B(4; 0) và C, D lần lượt là giao điểm của đường thẳng x = 4; x = 1 với đường thẳng y = x + 1.
Khi đó C(4; 5), D(1; 2).
Ta có: AD = 2; BC = 5; AB = 3.
Khi đó diện tích hình thang T là .
b)

Gọi A(1; 0), B(t; 0), t ∈ [1; 4] và C, D lần lượt là giao điểm của đường thẳng x = t; x = 1 với đường thẳng y = x + 1.
Khi đó C(t; t + 1); D(1; 2).
Do đó AB = t – 1; AD = 2; BC = t + 1.
Khi đó diện tích hình thang ABCD là
c) Có
Do đó S(t) là một nguyên hàm của hàm số f(t) = t + 1, t ∈ [1; 4].
Có
Do đó S(4) – S(1) = S.
Hoạt động 2: Xét hình thang cong giới hạn bởi đồ thị y = x2, trục hoành và hai đường thẳng x = 1, x = 2. Ta muốn tính diện tích S của hình thang cong này.
a) Với mỗi x ∈ [1; 2], gọi S(x) là diện tích phần hình thang cong đã cho nằm giữa hai đường thẳng vuông góc với trục Ox tại điểm có hoành độ bằng 1 và x (H.4.5).
Cho h > 0 sao cho x + h < 2. So sánh hiệu S(x + h) – S(x) với diện tích hai hình chữ nhật MNPQ và MNEF (H.4.6). Từ đó suy ra
b) Cho h < 0 sao cho x + h > 1. Tương tự phần a, đánh giá hiệu S(x) – S(x + h) và từ đó suy ra
c) Từ kết quả phần a và phần b, suy ra với mọi h ≠ 0, ta có .
Từ đó chứng minh S'(x) = x2, x ∈ (1; 2).
Người ta chứng minh được S'(1) = 1, S'(2) = 4, tức là S(x) là một nguyên hàm của x2 trên [1; 2].
d) Từ kết quả của phần c, ta có . Sử dụng điều này với lưu ý S(1) = 0 và diện tích cần tính S = S(2), hãy tính S.
Gọi F(x) là một nguyên hàm tùy ý của f(x) = x2 trên [1; 2]. Hãy so sánh S và F(2) – F(1).

Lời giải:
a) Với h > 0, x + h < 2, kí hiệu SMNPQ và SMNEF lần lượt là diện tích các hình chữ nhật MNPQ và MNEF, ta có: SMNPQ ≤ S(x + h) – S(x) ≤ SMNEF
hay hx2 ≤ S(x + h) – S(x) ≤ h(x + h)2.
Suy ra
b) Với h < 0 và x + h > 1, kí hiệu SMNPQ và SMNEF lần lượt là diện tích các hình chữ nhật MNPQ và MNEF, ta có SMNPQ ≤ S(x + h) – S(x) ≤ SMNEF
hay h(x+h)2 ≤ S(x + h) – S(x) ≤ hx2.
Suy ra
c) Dựa vào kết quả của câu a, b ta suy ra với mọi h ≠ 0, ta có:
Suy ra
d) Vì S(1) = 0 nên
Vậy
Ta có
Giả sử là một nguyên hàm của f(x) = x2 trên [1; 2].
Khi đó . Ta thấy .
Hoạt động 3: Giả sử f(x) là hàm số liên tục trên đoạn [a; b], F(x) và G(x) là hai nguyên hàm tùy ý của f(x) trên đoạn [a; b]. Chứng minh rằng F(b) – F(a) = G(b) – G(a).
Lời giải:
Vì F(x) và G(x) là hai nguyên hàm của f(x) trên đoạn [a; b] nên tồn tại một hằng số C sao cho F(x) = G(x) + C.
Do đó F(b) – F(a) = G(b) + C – G(a) – C = G(b) – G(a).
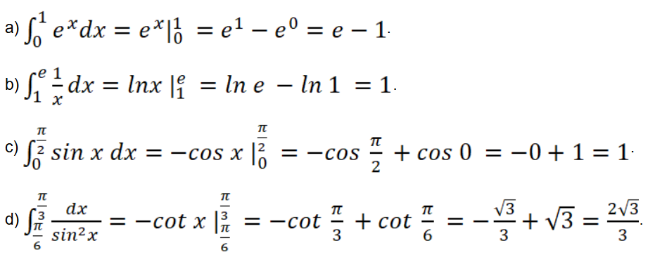
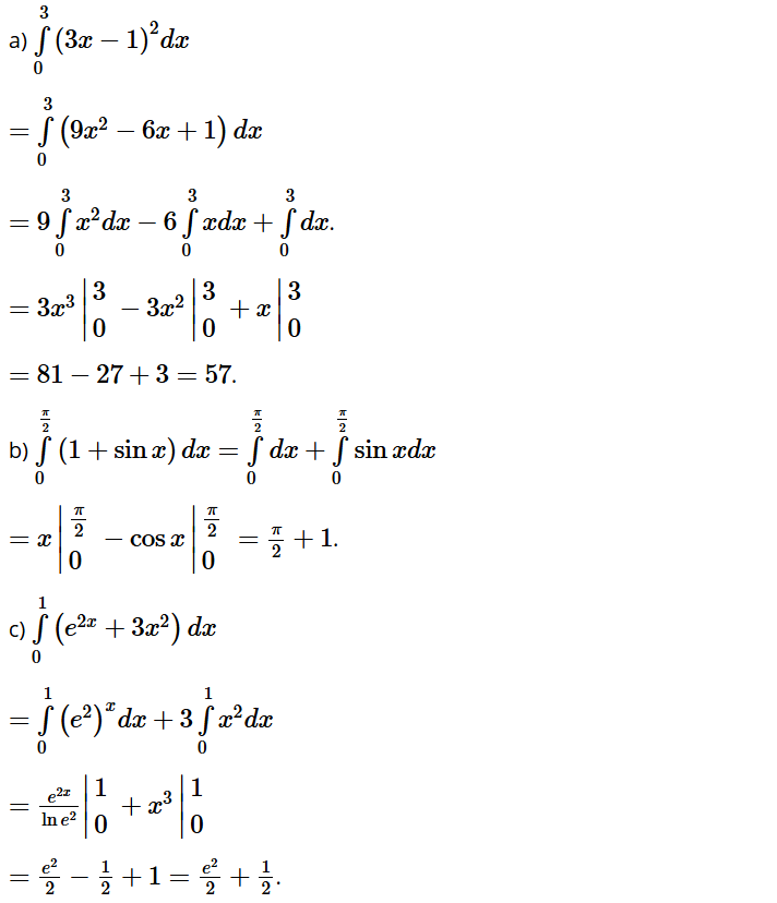
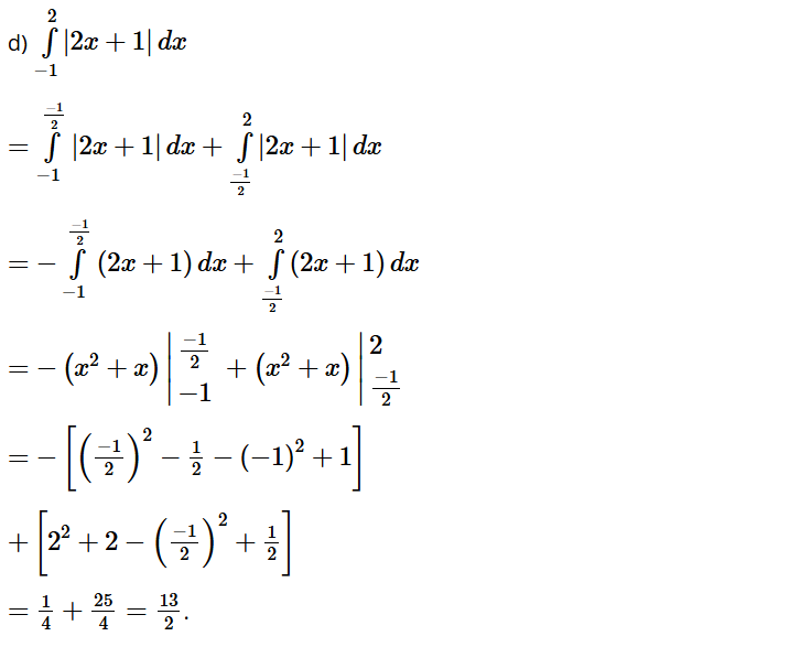
Luyện tập 1: Tính:
a) ;
b) ;
c) ;
d)
Lời giải:

Luyện tập 2: Sử dụng ý nghĩa hình học của tích phân, tính:
a)
b)
Lời giải:
a)

Gọi A(1; 0), B(3; 0) và C, D lần lượt là giao điểm của đường thẳng x = 3; x = 1 với đường thẳng y = 2x + 1.
Do đó C(3; 7), D(1; 3).
Tích phân cần tính là diện tích hình thang vuông ABCD với đáy nhỏ AD = 3; đáy lớn BC = 7 và chiều cao AB = 2.
Do đó
b)

Ta có là phương trình nửa phía trên trục hoành của đường tròn tâm tại gốc tọa độ O và bán kính 2. Do đó, tích phân cần tính là diện tích nửa phía trên trục hoành của hình tròn tương ứng.
Vậy
Vận dụng 1: Giải quyết bài toán ở tình huống mở đầu.
Lời giải:

2. Tính chất của tích phân
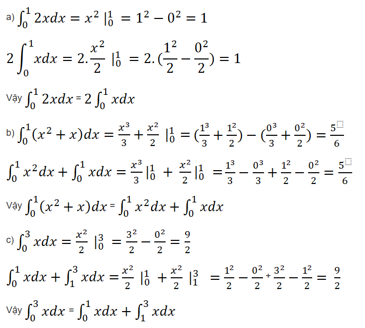
Hoạt động 4: Tính và so sánh:
a) và ;
b) và ;
c) và
Lời giải:

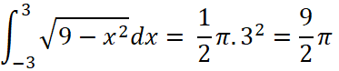
Luyện tập 3: Tính các tích phân sau:
a)
b)
c)
Lời giải:
a)
b)
c)
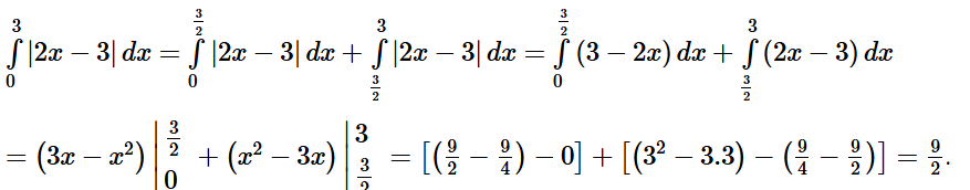
Luyện tập 4: Tính .
Lời giải:

Vận dụng 2: Giá trị trung bình của hàm số liên tục f(x) trên đoạn [a; b] được định nghĩa là . Giả sử nhiệt độ (tính bằng °C) tại thời điểm t giờ trong khoảng thời gian từ 6 giờ sáng đến 12 giờ trưa ở một địa phương vào một ngày nào đó được mô hình hóa bởi hàm số T(t) = 20 + 1,5(t – 6), 6 ≤ t ≤ 12. Tìm nhiệt độ trung bình vào ngày đó trong khoảng thời gian từ 6 giờ sáng đến 12 giờ trưa.
Lời giải:
Nhiệt độ trung bình vào ngày đó là:
Vậy nhiệt độ trung bình vào ngày đó trong khoảng thời gian từ 6 giờ sáng đến 12 giờ trưa là 24,5°C.
Bài tập
Bài 4.8: Sử dụng ý nghĩa hình học của tích phân, tính:
a)
b)
Lời giải:
a) Tích phân cần tính là diện tích hình thang vuông ABCD, có đáy nhỏ AD = 3, đáy lớn BC = 5, và đường cao AB = 1. Do đó:


b) Tích phân cần tính là diện tích nửa phía trên trục hoành của hình tròn (O;3):


Bài 4.9: Cho và . Tính:
a) ;
b) ;
c) ;
d)
Lời giải:
a)
b)
c)
d)
Bài 4.10: Tính:
a) ;
b) ;
c) ;
d)
Lời giải:


Bài 4.11: Một vật chuyển động dọc theo một đường thẳng sao cho vận tốc của nó tại thời điểm t (giây) là v(t) = t2 – t – 6 (m/s).
Lời giải:

Vậy tổng quãng đường vật đi được là 10,17 (m).
Bài 4.12: Giả sử lợi nhuận biên (tính bằng triệu đồng) của một sản phẩm được mô hình hóa bằng công thức P'(x) = −0,0005x + 12,2. Ở đây P(x) là lợi nhuận (tính bằng triệu đồng) khi bán được x đơn vị sản phẩm.
a) Tìm sự thay đổi của lợi nhuận khi doanh số tăng từ 100 lên 101 sản phẩm.
b) Tìm sự thay đổi của lợi nhuận khi doanh số tăng từ 100 lên 110 sản phẩm.
Lời giải:
a) Sự thay đổi của lợi nhuận khi doanh số tăng từ 100 lên 101 sản phẩm là:
= 1229,64975 – 1217,5 = 12,14975 triệu đồng.
b) Sự thay đổi của lợi nhuận khi doanh số tăng từ 100 lên 110 sản phẩm là
= 1338,975 – 1217,5 = 121,475 triệu đồng.
Bài 4.13: Giả sử vận tốc v của dòng máu ở khoảng cách r từ tâm của động mạch bán kính R không đổi, có thể được mô hình hóa bởi công thức v = k(R2 – r2), trong đó k là một hằng số. Tìm vận tốc trung bình (đối với r) của động mạch trong khoảng 0 ≤ r ≤ R. So sánh vận tốc trung bình với vận tốc lớn nhất.
Lời giải:
