Mở đầu: Trong không gian Oxyz, mắt một người quan sát ở điểm M(2; 3; −4) và vật cần quan sát đặt tại điểm N(−1; 0; 8). Một tấm bìa chắn đường truyền của ánh sáng có dạng hình tròn với tâm O(0; 0; 0), bán kính bằng 3 và đặt trong mặt phẳng Oxy. Hỏi tấm bìa có che khuất tầm nhìn của người quan sát đối với vật đặt ở điểm N hay không?
Lời giải:

1. Phương trình đường thẳng
Hoạt động 1: Trong không gian, cho điểm M và vectơ khác vectơ – không. Khẳng định nào trong hai khẳng định sau là đúng?
a) Có duy nhất đường thẳng đi qua M và vuông góc với giá của .
b) Có duy nhất đường thẳng đi qua M và song song hoặc trùng với giá của
Lời giải:
Khẳng định b) đúng
Luyện tập 1: Cho hình lăng trụ ABC.A'B'C' (H.5.25). Trong các vectơ có điểm đầu và điểm cuối đều là đỉnh của hình lăng trụ, những vectơ nào là vectơ chỉ phương của đường thẳng AB?

Lời giải:
Những vectơ chỉ phương của đường thẳng AB là
Hoạt động 2: Trong không gian Oxyz, một vật thể chuyển động với vectơ vận tốc không đổi và xuất phát từ điểm A(x0; y0; z0) (H.5.26).
a) Hỏi vật thể chuyển động trên đường thẳng nào (chỉ ra điểm mà nó đi qua và vectơ chỉ phương của đường thẳng đó)?
b) Giả sử tại thời điểm t (t > 0) tính từ khi xuất phát, vật thể ở vị trí M(x; y; z). Tính x, y, z theo a, b, c, x0, y0, z0 và t.

Lời giải:

Luyện tập 2: Trong không gian Oxyz, cho đường thẳng
a) Hãy chỉ ra hai điểm thuộc ∆ và một vectơ chỉ phương của ∆.
b) Viết phương trình tham số của đường thẳng đi qua gốc tọa độ O(0; 0; 0) và có vectơ chỉ phương
Lời giải:
a) Ta có A(2; 0; 1), B(3; 3; 2) là các điểm thuộc ∆.
Có là một vectơ chỉ phương của ∆.
b) Phương trình tham số của đường thẳng đi qua gốc tọa độ O(0; 0; 0) và có vectơ chỉ phương là
Hoạt động 3: Trong không gian Oxyz, cho đường thẳng ∆ đi qua điểm A(x0; y0; z0) và có vectơ chỉ phương (a, b, c là các số khác 0).
a) Điểm M(x; y; z) thuộc ∆ khi và chỉ khi hai vectơ và có mối quan hệ gì?
b) Điểm M(x; y; z) thuộc ∆ khi và chỉ khi các phân số có mối quan hệ gì?
Lời giải:

Luyện tập 3: Trong không gian Oxyz, cho đường thẳng . Hãy chỉ ra một vectơ chỉ phương của ∆ và hai điểm thuộc ∆.
Lời giải:

Luyện tập 4: Trong không gian Oxyz, viết phương trình tham số và phương trình chính tắc của đường thẳng ∆ đi qua điểm A(2; −1; 0) và có vectơ chỉ phương
Lời giải:

Luyện tập 5: Trong không gian Oxyz, viết phương trình tham số của đường thẳng ∆ đi qua điểm M(2; −1; 3) và vuông góc với mặt phẳng Oyz.
Lời giải:
Ta có mặt phẳng Oyz có vectơ pháp tuyến là
Giá của vectơ và ∆ cùng vuông góc với mặt phẳng Oyz nên chúng trùng nhau hoặc song song với nhau.
Do đó ∆ nhận làm một vectơ chỉ phương.
Đường thẳng ∆ đi qua điểm M(2; −1; 3) và làm một vectơ chỉ phương có phương trình là:
Hoạt động 4: Trong không gian Oxyz, cho hai điểm phân biệt A1(x1; y1; z1), A2(x2; y2; z2).
a) Hãy chỉ ra một vectơ chỉ phương của đường thẳng A1A2.
b) Viết phương trình đường thẳng A1A2.
Lời giải:

Luyện tập 6: Trong không gian Oxyz, viết phương trình đường thẳng đi qua hai điểm A(2; 1; 3) và B(2; 4; 6).
Lời giải:

Vận dụng 1: (H.5.27) Trong tình huống mở đầu hãy thực hiện các bước sau và trả lời câu hỏi đã được nêu ra.
a) Viết phương trình tham số của đường thẳng MN.
b) Tính tọa độ giao điểm D của đường thẳng MN với mặt phẳng Oxy.
c) Hỏi điểm D có nằm giữa hai điểm M và N hay không?

Lời giải:
a) Ta có
Đường thẳng MN đi qua điểm M(2; 3; −4) và có vectơ chỉ phương có phương trình là:
b) Mặt phẳng Oxy có phương trình là z = 0.
Vì D là giao điểm của đường thẳng MN với mặt phẳng Oxy nên tọa độ điểm D là nghiệm của hệ .Vậy D(1; 2; 0).
c) Ta có ;
Vì MD < MN nên D nằm giữa M và N.
Vậy tấm bìa có che khuất tầm nhìn của người quan sát đối với vật đặt ở điểm N.
2. Hai đường thẳng vuông góc
Hoạt động 5: Trong không gian Oxyz, cho hai đường thẳng ∆1, ∆2 tương ứng có vectơ chỉ phương
a) Hai đường thẳng ∆1 và ∆2 vuông góc với nhau khi và chỉ khi hai giá của có mối quan hệ gì?
b) Tìm điều kiện đối với để ∆1 và ∆2 vuông góc với nhau.
Lời giải:

Luyện tập 7: Trong không gian Oxyz, cho đường thẳng . Hỏi đường thẳng ∆ có vuông góc với trục Oz hay không?
Lời giải:

Vận dụng 2: Tại một nút giao thông có hai con đường. Trên thiết kế, trong không gian Oxyz, hai con đường đó tương ứng thuộc hai đường thẳng:
Hỏi hai con đường trên có vuông góc với nhau hay không?
Lời giải:
Ta có
Vì nên hai con đường trên vuông góc với nhau.
3. Vị trí tương đối giữa hai đường thẳng
Hoạt động 6: Trong không gian Oxyz, cho hai đường thẳng ∆1; ∆2 lần lượt đi qua các điểm A1(x1; y1; z1), A2(x2; y2; z2) và tương ứng có vectơ chỉ phương (H.5.29).
a) Tìm điều kiện đối với và để ∆1 và ∆2 song song hoặc trùng nhau.
b) Giả sử và thì ∆1 và ∆2 có cắt nhau hay không?
c) Giả sử thì ∆1 và ∆2 có chéo nhau hay không?

Lời giải:
a) ∆1 // ∆2 .
∆1 ≡ ∆2 .
b) ∆1 và ∆2 cắt nhau khi và chỉ khi và không cùng phương và , và đồng phẳng. Tức là và .
c) ∆1 và ∆2 chéo nhau khi và chỉ khi , và không đồng phẳng. Tức là:
Luyện tập 8: Trong không gian Oxyz, chứng minh rằng hai đường thẳng sau song song với nhau:
và
Lời giải:

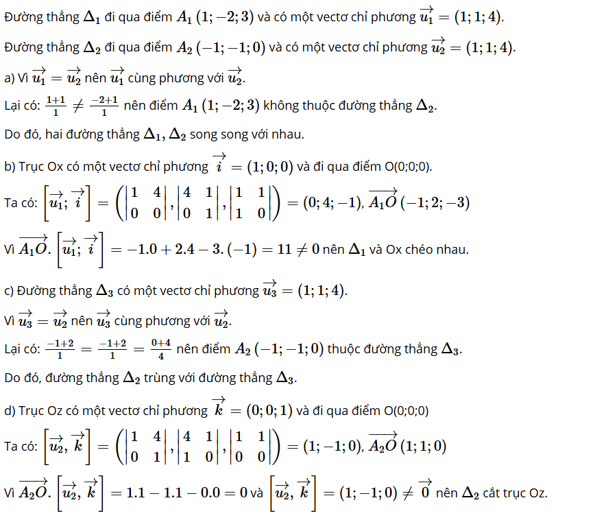
Luyện tập 9: Trong không gian Oxyz, cho hai đường thẳng và . Chứng minh rằng:
a) Hai đường thẳng ∆1 và ∆2 song song với nhau;
b) Đường thẳng ∆1 và trục Ox chéo nhau;
c) Đường thẳng ∆2 trùng với đường thẳng
d) Đường thẳng ∆2 cắt trục Oz.
Lời giải:

Luyện tập 10: Trong không gian Oxyz, xét vị trí tương đối giữa hai đường thẳng và
Lời giải:
Đường thẳng ∆1 đi qua điểm A(1; 3; 1) và có vectơ chỉ phương .
Đường thẳng ∆2 đi qua điểm B(0; 1; 0) và có vectơ chỉ phương .
Có ,
Có
Vậy ∆1 và ∆2 chéo nhau.
Vận dụng 3: (H.5.30) Trong không gian Oxyz, có hai vật thể lần lượt xuất phát từ A(1; 2; 0) và B(3; 5; 0) với vận tốc không đổi tương ứng là , . Hỏi trong quá trình chuyển động, hai vật thể trên có va chạm vào nhau không?
Lời giải:

Vậy trong quá trình chuyển động, hai vật thể không va chạm vào nhau.
Bài tập
Bài 5.11: Trong không gian Oxyz, viết các phương trình tham số và chính tắc của đường thẳng ∆ đi qua điểm A(1; 1; 2) và song song với đường thẳng
Lời giải:

Bài 5.12: Trong không gian Oxyz, viết các phương trình tham số và chính tắc của đường thẳng ∆ đi qua A(2; −1; 4) và vuông góc với mặt phẳng (P): x + 3y – z – 1 = 0.
Lời giải:
Mặt phẳng (P) có vectơ pháp tuyến là
Vì ∆ ⊥ (P) nên đường thẳng ∆ nhận vectơ pháp tuyến của mặt phẳng (P) làm vectơ chỉ phương.
Đường thẳng ∆ đi qua A(2; −1; 4), có vectơ chỉ phương có phương trình tham số là: và phương trình chính tắc là:
Bài 5.13: Trong không gian Oxyz, viết các phương trình tham số và chính tắc của đường thẳng ∆ đi qua hai điểm A(2; 3; −1) và B(1; −2; 4).
Lời giải:

Bài 5.14: Trong không gian Oxyz, cho hai đường thẳng: và
a) Chứng minh rằng ∆1 và ∆2 cắt nhau.
b) Viết phương trình mặt phẳng (P) chứa ∆1 và ∆2.
Lời giải:

Bài 5.15: Trong không gian Oxyz, cho hai đường thẳng: và
a) Chứng minh rằng ∆1 và ∆2 song song với nhau.
b) Viết phương trình mặt phẳng (P) chứa ∆1 và ∆2.
Lời giải:
a) Đường thẳng ∆1 đi qua A(1; 3; 2) và có vectơ chỉ phương
Đường thẳng ∆2 đi qua B(1; −1; 0) và có vectơ chỉ phương
Vì và A ∉ ∆2 do đó ∆1 và ∆2 song song với nhau.
b) Có
Mặt phẳng (P) chứa ∆1 và ∆2 có một vectơ pháp tuyến là
Mặt phẳng (P) đi qua A(1; 3; 2) và có vectơ pháp tuyến có phương trình là: −6(x – 1) −6(y – 3) + 12(z – 2) = 0 ⇔ 6x + 6y – 12z = 0 hay x + y – 2z = 0.
Bài 5.16: Trong không gian Oxyz, xác định vị trí tương đối giữa hai đường thẳng: và
Lời giải:

Bài 5.17: Tại một nút giao thông có hai con đường. Trên thiết kế, trong không gian Oxyz, hai con đường đó thuộc hai đường thẳng lần lượt có phương trình: và
a) Hai con đường trên có vuông góc với nhau hay không?
b) Nút giao thông trên có phải là nút giao thông khác mức hay không?

Lời giải:

Bài 5.18: Trong không gian Oxyz, một viên đạn được bắn ra từ điểm A(1; 3; 4) và trong 3 giây, đầu đạn đi với vận tốc không đổi; vectơ vận tốc (trên giây) là . Hỏi viên đạn trên có bắn trúng mục tiêu trong mỗi tình huống sau hay không?
a) Mục tiêu đặt tại điểm
b) Mục tiêu đặt tại điểm N(−3; 1; −8).
Lời giải:
Phương trình mô tả quỹ đạo chuyển động của viên đạn là:
a) Thay tọa độ điểm M vào phương trình chuyển động, ta có:
Ta thấy các giá trị t này đều khác nhau do đó điểm M không nằm trên quỹ đạo chuyển động của viên đạn nên viên đạn không bắn trúng mục tiêu đặt tại điểm M.
b) Thay tọa độ điểm N vào phương trình chuyển động của viên đạn ta có:
Suy ra điểm N nằm trên quỹ đạo chuyển động của viên đạn.
Do đó viên đạn trên có bắn trúng mục tiêu đặt tại điểm N.
Bài 5.19: Trên mặt đất phẳng, người ta dựng một cây cột thẳng cao 6 m vuông góc với mặt đất, có chân cột đặt tại ví trí O trên mặt đất. Tại một thời điểm, dưới ánh nắng mặt trời, bóng của đỉnh cột dưới mặt đất cách chân cột 3 m về hướng S60°E (hướng tạo với hướng nam góc 60° tạo với hướng đông góc 30°) (H.5.32). Chọn hệ trục Oxyz có gốc tọa độ là O, tia Ox chỉ hướng nam, tia Oy chỉ hướng đông, tia Oz chứa cây cột, đơn vị đo là mét. Hãy viết phương trình đường thẳng chứa tia nắng mặt trời đi qua đỉnh cột tại thời điểm đang xét.

Lời giải:
