Hoạt động khởi động: Ta đã biết công thức tính thể tích của khối cầu bán kính R là . Làm thế nào để tìm ra công thức đó?
Lời giải:

Khối cầu có bán kính R là khối tròn xoay nhận được khi quay nửa hình tròn giới hạn bởi đồ thị hàm số và trục Ox quanh trục Ox.
Từ đó thể tích khối cầu là:
.
1. Tính diện tích hình phẳng
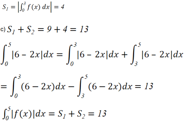
Hoạt động khám phá 1: Gọi d là đồ thị của hàm số y = f(x) = 6 – 2x. Kí hiệu S1 là diện tích hình phẳng giới hạn bởi d, trục hoành và trục tung, S2 là diện tích hình phẳng giới hạn bởi d, trục hoành và đường thẳng x = 5 (Hình 1).
a) Tính S1 và so sánh với .
b) Tính S2 và so sánh với .
c) So sánh với S1 + S2.

Lời giải:
a) Diện tích S1 cần tính là diện tích của tam giác vuông có độ dài 2 cạnh góc vuông lần lượt là 6 và 3


Thực hành 1: Tính diện tích hình phẳng giới hạn bởi đồ thị của hàm số y = 2x – x2, trục hoành và hai đường thẳng x = 0, x = 3.
Lời giải:
Ta có 2x – x2 = 0 ⇔ x = 0 hoặc x = 2.
Với x [0; 2] thì 2x – x2 ≥ 0, với x [2; 3] thì 2x – x2 ≤ 0.
Diện tích cần tính là:
Thực hành 2: Tính diện tích hình phẳng giới hạn bởi đồ thị của hàm số y = cosx – 2, trục hoành và hai đường thẳng x = 0, x = π.
Lời giải:

Hoạt động khám phá 2: Cho hai hàm số y = 4x – x2 và y = x lần lượt có đồ thị (P) và d như Hình 4.
a) Tính diện tích S1 của hình phẳng giới hạn bởi (P), trục hoành và hai đường thẳng x = 0, x = 2.
b) Tính diện tích S của hình phẳng giới hạn bởi (P), d và hai đường thẳng x = 0, x = 2.

Lời giải:

b)


Thực hành 3: Tính diện tích hình phẳng giới hạn bởi đồ thị của hai hàm số y = x2 – 2x – 1, y = x – 1 và hai đường thẳng x = 1, x = 4.
Lời giải:
Diện tích cần tính là:
.
Ta có x2 – 3x = 0 ⇔ x = 0 hoặc x = 3.
Do đó S
Thực hành 4: Tính diện tích hình phẳng giới hạn bởi đồ thị của hai hàm số y = 5x − x2, y = x2 – x và hai đường thẳng x = 0, x = 2.
Lời giải:

Vận dụng 1: Mặt cắt của một cửa hầm có dạng là hình phẳng giới hạn bởi một parabol và đường thẳng nằm ngang như Hình 7. Tính diện tích của cửa hầm.

Lời giải:



2. Tính thể tích hình khối
Hoạt động khám phá 3: Trong không gian, cho hình chóp O.ABCD có đáy là hình vuông cạnh a, OA ⊥ (ABCD), OA = h. Đặt trục số Ox như Hình 8. Một mặt phẳng vuông góc với trục Ox tại điểm có hoành độ x (0 < x ≤ h), cắt hình chóp O.ABCD theo mặt cắt là hình vuông A'B'C'D'. Kí hiệu S(x) là diện tích của hình vuông A'B'C'D'.
a) Tính S(x) theo a, h và x.
b) Tính và so sánh với thể tích của khối chóp O.ABCD.

Lời giải:
a) Ta có A'B'C'D' đồng dạng với ABCD theo tỉ số đồng dạng là .
Do đó .
b) .
Có .
Vậy
Thực hành 5: Một bình chứa nước có hình dạng như Hình 11. Biết rằng khi nước trong bình có chiều cao x (dm) (0 ≤ x ≤ 4) thì mặt nước là hình vuông có cạnh (dm). Tính dung tích của bình.

Lời giải:

Hoạt động khám phá 4: Cho D là hình phẳng giới hạn bởi đồ thị hàm số , trục hoành và đường thẳng x = 4 (Hình 12a). Quay hình D xung quanh trục Ox thì được một khối nón, kí hiệu là N (Hình 12b).
a) Cắt khối N bởi mặt phẳng vuông góc với trục Ox tại điểm có hoành độ x (0 ≤ x ≤ 4) thì mặt cắt là hình gì? Tính diện tích S(x) của mặt cắt đó.
b) Sử dụng công thức tính thể tích hình khối, tính thể tích của khối nón N.

Lời giải:

Thực hành 6: Gọi D là hình phẳng giới hạn bởi đồ thị hàm số , trục hoành và hai đường thẳng x = 1, x = 2 (Hình 15). Thể tích khối tròn xoay tạo thành khi quay D quanh trục Ox.

Lời giải:
Thể tích cần tìm là:
Vận dụng 2: Sử dụng tích phân, tính thể tích khối nón có bán kính đáy r và chiều cao h (Hình 16).

Lời giải:
Kẻ hệ trục toạ độ Oxy như hình dưới.

Bài tập
Bài tập 1: Tính diện tích hình phẳng giới hạn bởi
a) Đồ thị của hàm số y = ex, trục hoành và hai đường thẳng x = −1, x = 1.
b) Đồ thị của hàm số , trục hoành và hai đường thẳng x = 1, x = 2.
Lời giải:

Bài tập 2: Tính diện tích hình phẳng giới hạn bởi đồ thị của hàm số y = x3 – x, trục hoành và hai đường thẳng x = 0, x = 2.
Lời giải:
Ta có x3 – x = 0 ⇔ x = 0 hoặc x = 1 hoặc x = −1.
Với x [0; 1] thì x3 – x ≤ 0; x [1; 2] thì x3 – x ≥ 0.
Diện tích cần tính là:
Bài tập 3: Tính diện tích hình phẳng giới hạn bởi đồ thị của hai hàm số , y = – x và hai đường thẳng x = 1, x = 4.
Lời giải:
Diện tích hình phẳng cần tính là:

Bài tập 4: Tính diện tích hình phẳng giới hạn bởi đồ thị của hai hàm số y = x3 + 1, y = 2 và hai đường thẳng x = −1, x = 2.
Lời giải:

Bài tập 5: Khi cắt một vật thể hình chiếc nêm bởi mặt phẳng vuông góc với trục Ox tại điểm có hoành độ x (−2 ≤ x ≤ 2), mặt cắt là tam giác vuông có một góc 45° và độ dài một cạnh góc vuông là (dm) (Hình 17). Tính thể tích của vật thể.

Lời giải:
Vì mặt cắt là tam giác vuông có một góc 45° nên mặt cắt là tam giác vuông cân.
Do đó diện tích của mặt cắt là
Thể tích vật thể là:
Bài tập 6: Cho D là hình phẳng giới hạn bởi đồ thị hàm số (x ≤ 4), trục tung và trục hoành (Hình 18). Tính thể tích khối tròn xoay tạo thành khi quay D quanh trục Ox.

Lời giải:

Bài tập 7: Trong mặt phẳng tọa độ Oxy, cho hình thang OABC có A(0; 1), B(2; 2) và C(2; 0) (Hình 19). Tính thể tích khối tròn xoay tạo thành khi quay hình thang OABC quanh trục Ox.

Lời giải:

Bài tập 8: Sử dụng tích phân, tính thể tích của hình chóp tứ giác đều có cạnh đáy bằng a và chiều cao bằng h (Hình 20).

Lời giải:

Chọn trục Ox trùng với đường cao của hình chóp đều như hình vẽ, sao cho mặt đáy nằm trong mặt phẳng vuông góc với trục Ox tại x = 0.
Mặt phẳng vuông góc với trục Ox tại điểm có hoành độ x (0 ≤ x ≤ h) cắt hình chóp đều theo mặt cắt là hình vuông đồng dạng với đáy của hình chóp theo tỉ số .
Do đó .
Do đó thể tích khối chóp tứ giác đều là: