Hoạt động khởi động: Một ô tô đang di chuyển với vận tốc 20 m/s thì hãm phanh nên tốc độ (m/s) của xe thay đổi theo thời gian t (giây) được tính theo công thức v(t) = 20 – 5t (0 ≤ t ≤ 4). Kể từ khi hãm phanh đến khi dừng, ô tô đi được quãng đường bao nhiêu?
Lời giải:
Sau khi học xong bài này, ta giải quyết bài toán này như sau:
Xe dừng khi v(t) = 20 – 5t = 0 ⇔ t = 4.
Quãng đường xe di chuyển từ khi bắt đầu hãm phanh đến khi dừng là:
(m).
1. Diện tích hình thang cong
Hoạt động khám phá 1: Cho hàm số y = f(x) = x + 1. Với mỗi x ≥ 1, kí hiệu S(x) là diện tích của hình thang giới hạn bởi đồ thị hàm số y = f(x), trục hoành và hai đường thẳng vuông góc với Ox tại các điểm có hoành độ 1 và x.
a) Tính S(3).
b) Tính S(x) với mỗi x ≥ 1.
c) Tính S'(x). Từ đó suy ra S(x) là một nguyên hàm của f(x) trên [1; +∞).
d) Cho F(x) là một nguyên hàm của hàm số f(x). Chứng tỏ rằng F(3) – F(1) = S(3). Từ đó nhận xét về cách tính S(3) khi biết một nguyên hàm của f(x).

Lời giải:


Thực hành 1: Tính diện tích hình thang cong giới hạn bởi đồ thị hàm số y = f(x) = ex, trục hoành, trục tung và đường thẳng x = 1 (Hình 4).

Lời giải:

2. Khái niệm tích phân
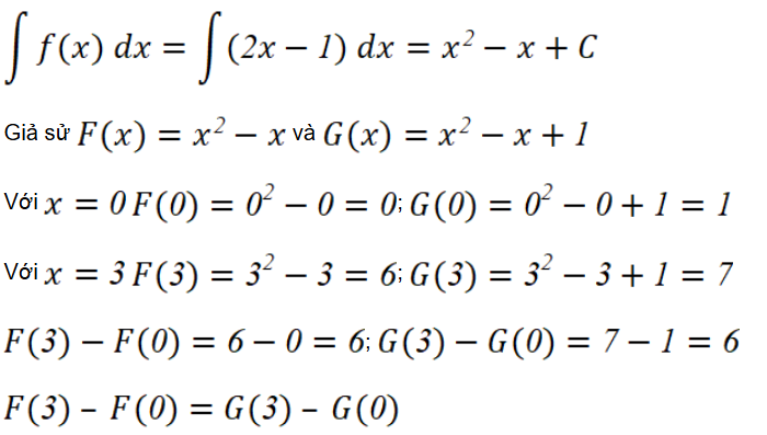
Hoạt động khám phá 2: Cho hàm số f(x) = 2x – 1. Lấy hai nguyên hàm tùy ý F(x) và G(x) của f(x), rồi tính F(3) – F(0) và G(3) – G(0). Nhận xét về kết quả nhận được.
Lời giải:

Thực hành 2: Tính các tích phân sau:
a) ; b) ; c) .
Lời giải:
a)
b)
c) .
Vận dụng 1: Sau khi xuất phát, ô tô di chuyển với tốc độ , trong đó v(t) tính theo m/s, thời gian t tính theo giây với t = 0 là thời điểm xe xuất phát.
a) Tính quãng đường xe đi được sau 5 giây, sau 10 giây.
b) Tính tốc độ trung bình của xe trong khoảng thời gian t = 0 đến t = 10.
Lời giải:

3. Tính chất của tích phân
Hoạt động khám phá 3:
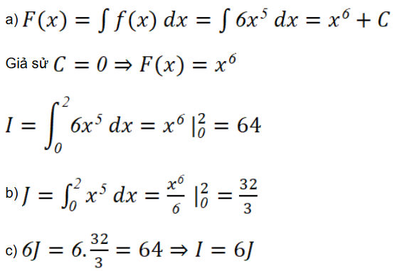
a) Tìm một nguyên hàm F(x) của hàm số f(x) = 6x5. Từ đó, tính .
b) Tính .
c) Có nhận xét gì về giá trị của I và 6J.
Lời giải:

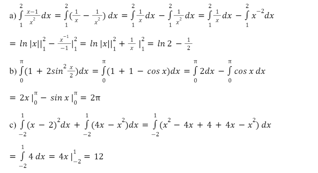
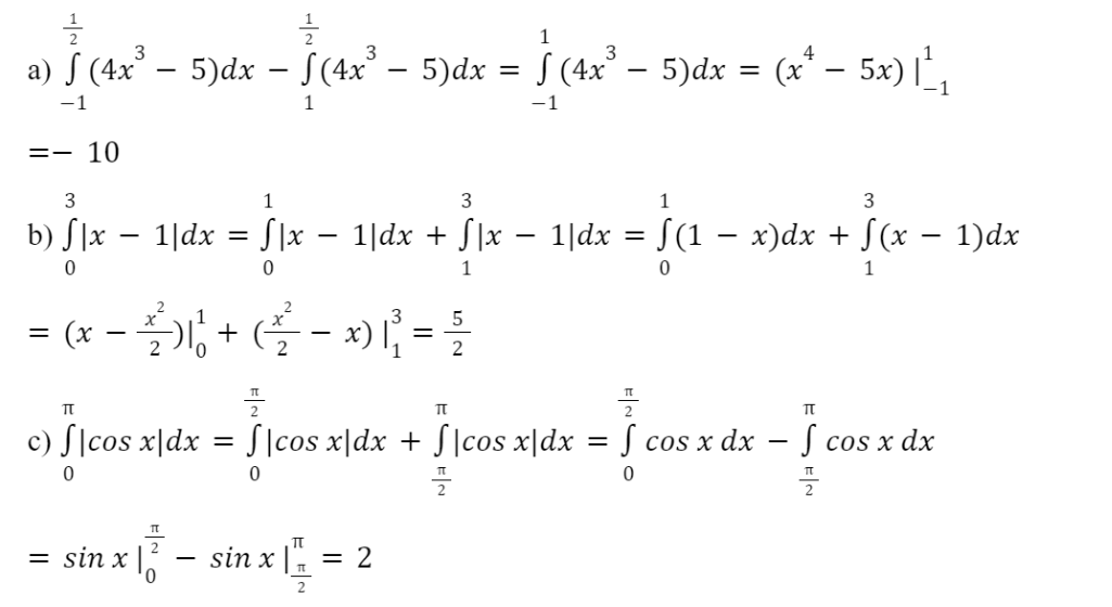
Thực hành 3: Tính các tích phân sau:
a) ; b) ; c) .
Lời giải:
a) ;
b) ;
c) .
Hoạt động khám phá 4:
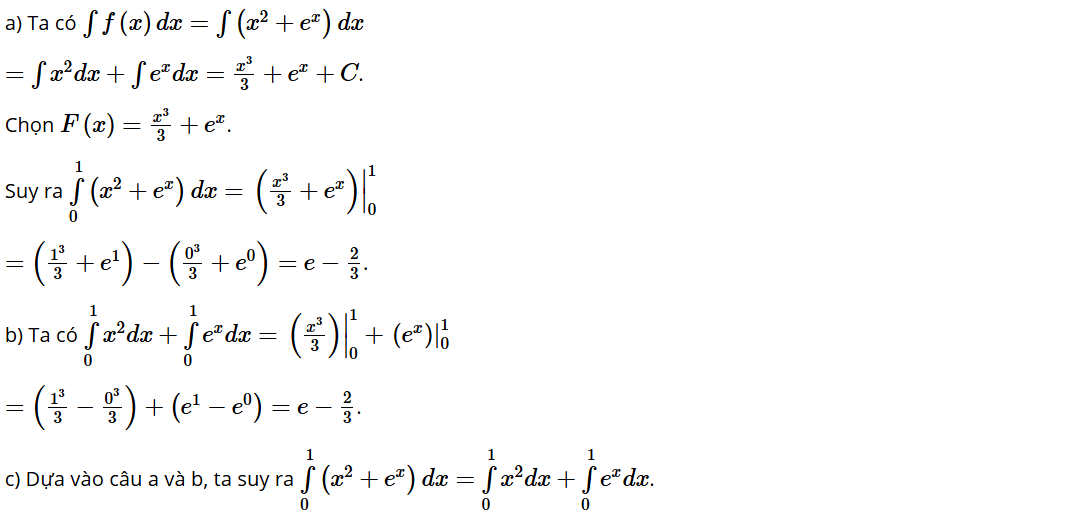
a) Tìm một nguyên hàm F(x) của hàm số f(x) = x2 + ex. Từ đó, tính .
b) Tính .
c) Có nhận xét gì về hai kết quả trên?
Lời giải:

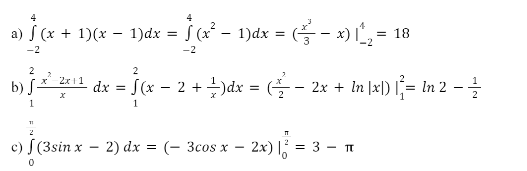
Thực hành 4: Tính các tích phân sau:
a) ;
b) ;
c)
Lời giải:

Vận dụng 2: Tại một nhà máy sản xuất một loại phân bón, gọi P(x) là lợi nhuận (tính theo triệu đồng) thu được từ việc bán x tấn sản phẩm trong một tuần. Khi đó, đạo hàm P'(x), gọi là lợi nhuận cận biên, cho biết tốc độ tăng lợi nhuận theo lượng sản phẩn bán được. Giả sử lợi nhuận cận biên (tính theo triệu đồng trên tấn) của nhà máy được ước lượng bởi công thức P'(x) = 16 – 0,02x với 0 ≤ x ≤ 100. Tính lợi nhuận nhà máy thu được khi bán 90 tấn sản phẩm trong tuần. Biết rằng nhà máy lỗ 25 triệu đồng nếu không bán được lượng sản phẩm nào trong tuần.
Lời giải:
Lợi nhuận nhà máy thu được khi bán x sản phẩm trong tuần là:
Vì P(0) = −25 nên 16.0 – 0,01.02 + C = −25 Þ C = −25.
Do đó P(x) = −0,01x2 + 16x – 25.
Lợi nhuận nhà máy thu được khi bán 90 tấn sản phẩm trong tuần là:
P(90) = −0,01.902 + 16.90 – 25 = 1334 triệu đồng.
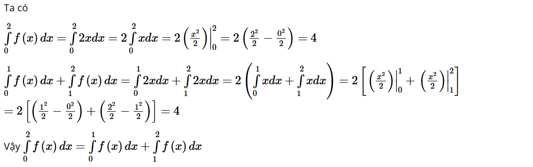
Hoạt động khám phá 5: Cho hàm số f(x) = 2x. Tính và so sánh kết quả: và
Lời giải:

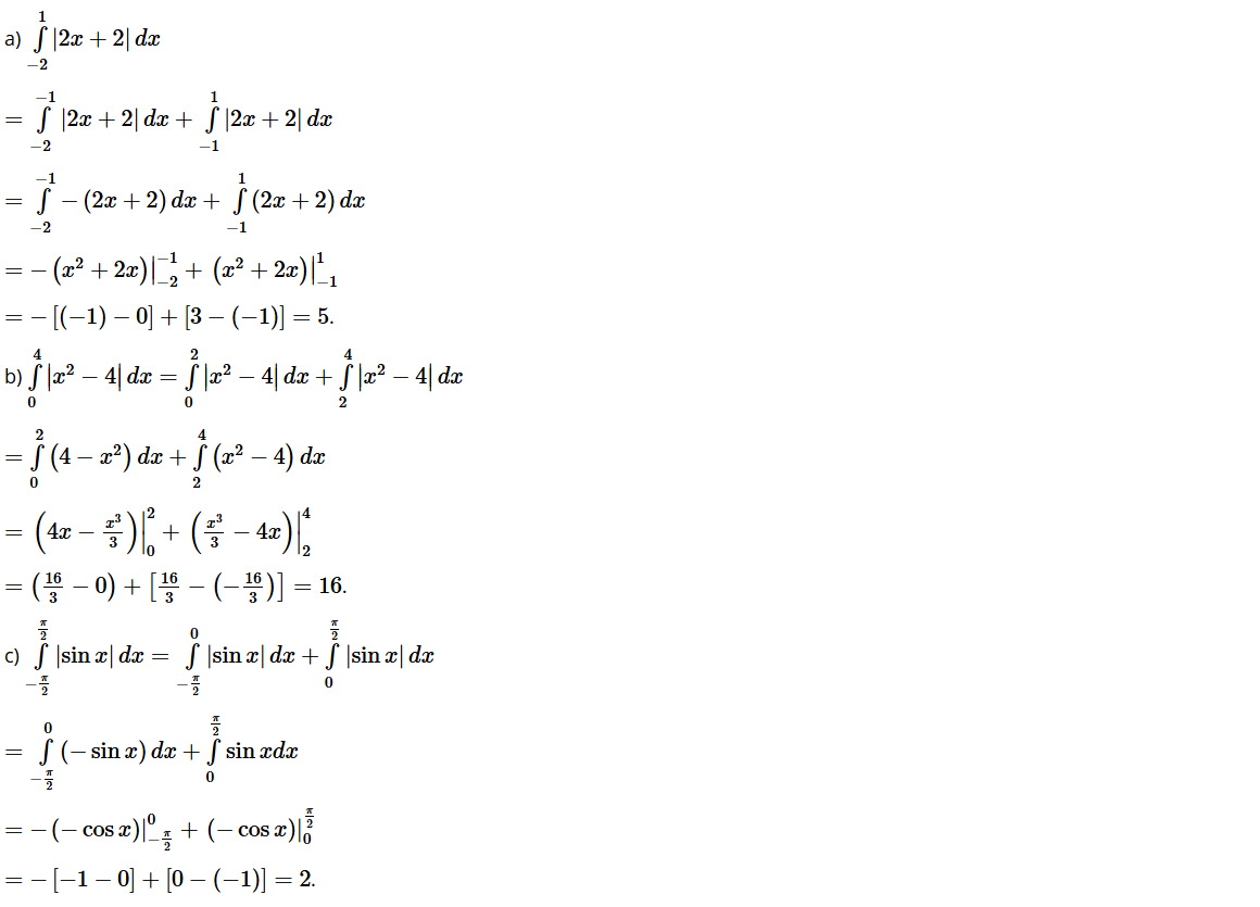
Thực hành 5: Tính:
a) ;
b) ;
c)
Lời giải:

Vận dụng 3: Biết rằng tốc độ v (km/phút) của một ca nô cao tốc thay đổi theo thời gian t (phút) như sau:
Tính quãng đường ca nô di chuyển được trong khoảng thời gian từ 0 đến 20 phút.
Lời giải:
Quãng đường ca nô di chuyển được trong khoảng thời gian từ 0 đến 20 phút là:
= 1 + 15 – 2 + 40 – 37,5
= 16,5 km.
Bài tập
Bài tập 1: Tính diện tích hình thang cong giới hạn bởi:
a) Đồ thị hàm số y = x2, trục hoành và hai đường thẳng x = 0, x = 2 (Hình 7);
b) Đồ thị hàm số , trục hoành và hai đường thẳng x = 1, x = 3 (Hình 8).

Lời giải:

Bài tập 2: Tính các tích phân sau:
a) ; b) ;
c) ; d)
Lời giải:
a)
b)
c)
d)
Bài tập 3: Tính các tích phân sau:
a) ;
b) ;
c) ;
d)
Lời giải:


Bài tập 4: Tính các tích phân sau:
a) ; b) ; c)
Lời giải:

Bài tập 5: Mặt cắt ngang của một ống dẫn khí nóng là hình vành khuyên như Hình 9. Khí bên trong ống được duy trì ở 150°C. Biết rằng nhiệt độ T(°C) tại điểm A trên thành ống là hàm số của khoảng cách x (cm) từ A đến tâm của mặt cắt và .
(Nguồn: Y.A.Cengel, A.I.Gahjar, Heat and Mass Transfer, McGraw Hill, 2015)
Tìm nhiệt độ mặt ngoài của ống.

Lời giải:

Bài tập 6: Giả sử tốc độ v (m/s) của một thang máy di chuyển từ tầng 1 lên tầng cao nhất theo thời gian t (giây) được cho bởi công thức:
Tính quãng đường chuyển động và tốc độ trung bình của thang máy.
Lời giải:
Quãng đường chuyển động của thang máy là:
= 42 m.
Tốc độ trung bình của thang máy là: (m/s).